DHEC Form 3462 Do Not Resuscitate Order - South Carolina

Notification Icon This version of the form is not currently in use and is provided for reference only. Download this version of DHEC Form 3462 for the current year.

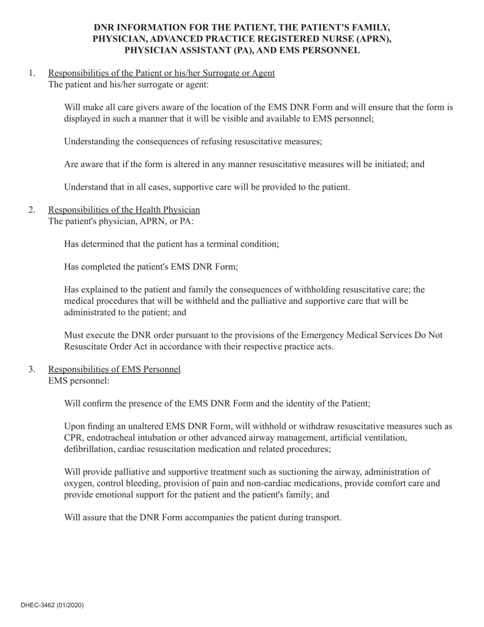
DHEC Form 3462 Do Not Resuscitate Order - South Carolina

What Is DHEC Form 3462?

This is a legal form that was released by the South Carolina Department of Health and Environmental Control - a government authority operating within South Carolina. As of today, no separate filing guidelines for the form are provided by the issuing department.

FAQ

Q: What is DHEC Form 3462?
A: DHEC Form 3462 is the Do Not Resuscitate Order in South Carolina.

Q: What does a Do Not Resuscitate Order mean?
A: A Do Not Resuscitate Order instructs medical personnel not to perform CPR or other life-saving measures if your heart stops or you stop breathing.

Q: Who can complete DHEC Form 3462?
A: DHEC Form 3462 can be completed by a competent adult or their authorized representative.

Q: How can I get DHEC Form 3462?
A: You can obtain DHEC Form 3462 from the South Carolina Department of Health and Environmental Control (DHEC).

Q: Is DHEC Form 3462 legally binding?
A: Yes, DHEC Form 3462 is legally binding in South Carolina.

Q: Can I change or revoke DHEC Form 3462?
A: Yes, you can change or revoke DHEC Form 3462 at any time by completing a new form or verbally expressing your wishes to healthcare providers.

ADVERTISEMENT

Form Details:

  • Released on January 1, 2020;
  • The latest edition provided by the South Carolina Department of Health and Environmental Control;
  • Easy to use and ready to print;
  • Quick to customize;
  • Compatible with most PDF-viewing applications;
  • Fill out the form in our online filing application.

Download a printable version of DHEC Form 3462 by clicking the link below or browse more documents and templates provided by the South Carolina Department of Health and Environmental Control.

Download DHEC Form 3462 Do Not Resuscitate Order - South Carolina

4.6 of 5 (18 votes)
  • DHEC Form 3462 Do Not Resuscitate Order - South Carolina

    1

  • DHEC Form 3462 Do Not Resuscitate Order - South Carolina, Page 2

    2

  • DHEC Form 3462 Do Not Resuscitate Order - South Carolina, Page 1
  • DHEC Form 3462 Do Not Resuscitate Order - South Carolina, Page 2
Prev 1 2 Next
ADVERTISEMENT