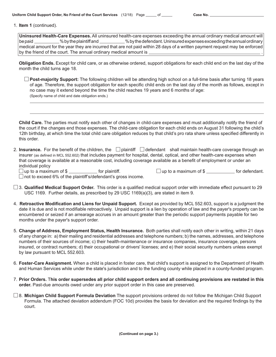
Form FOC10A / 52A Uniform Child Support Order, No Friend of the Court Services - Michigan

Notification Icon This version of the form is not currently in use and is provided for reference only. Download this version of Form FOC10A/52A for the current year.

Form FOC10A / 52A Uniform Child Support Order, No Friend of the Court Services - Michigan

What Is Form FOC10A/52A?

This is a legal form that was released by the Michigan Circuit Court - a government authority operating within Michigan. As of today, no separate filing guidelines for the form are provided by the issuing department.

FAQ

Q: What is Form FOC10A/52A Uniform Child Support Order?
A: Form FOC10A/52A is a legal document used in Michigan to establish child support obligations.

Q: What is the purpose of Form FOC10A/52A Uniform Child Support Order?
A: The purpose of Form FOC10A/52A is to determine the amount of child support that one parent must pay to the other parent.

Q: What does 'No Friend of the Court Services' mean?
A: 'No Friend of the Court Services' means that the case does not involve the assistance of the Friend of the Court, an agency that helps with child support enforcement and other related matters in Michigan.

Q: Who uses Form FOC10A/52A Uniform Child Support Order?
A: Form FOC10A/52A is typically used by parents or their attorneys when filing for child support in Michigan.

ADVERTISEMENT

Form Details:

  • Released on December 1, 2018;
  • The latest edition provided by the Michigan Circuit Court;
  • Easy to use and ready to print;
  • Quick to customize;
  • Compatible with most PDF-viewing applications;
  • Fill out the form in our online filing application.

Download a fillable version of Form FOC10A/52A by clicking the link below or browse more documents and templates provided by the Michigan Circuit Court.

Download Form FOC10A / 52A Uniform Child Support Order, No Friend of the Court Services - Michigan

4.5 of 5 (23 votes)
  • Form FOC10A/52A Uniform Child Support Order, No Friend of the Court Services - Michigan

    1

  • Form FOC10A/52A Uniform Child Support Order, No Friend of the Court Services - Michigan, Page 2

    2

  • Form FOC10A/52A Uniform Child Support Order, No Friend of the Court Services - Michigan, Page 3

    3

  • Form FOC10A / 52A Uniform Child Support Order, No Friend of the Court Services - Michigan, Page 1
  • Form FOC10A / 52A Uniform Child Support Order, No Friend of the Court Services - Michigan, Page 2
  • Form FOC10A / 52A Uniform Child Support Order, No Friend of the Court Services - Michigan, Page 3
Prev 1 2 3 Next
ADVERTISEMENT