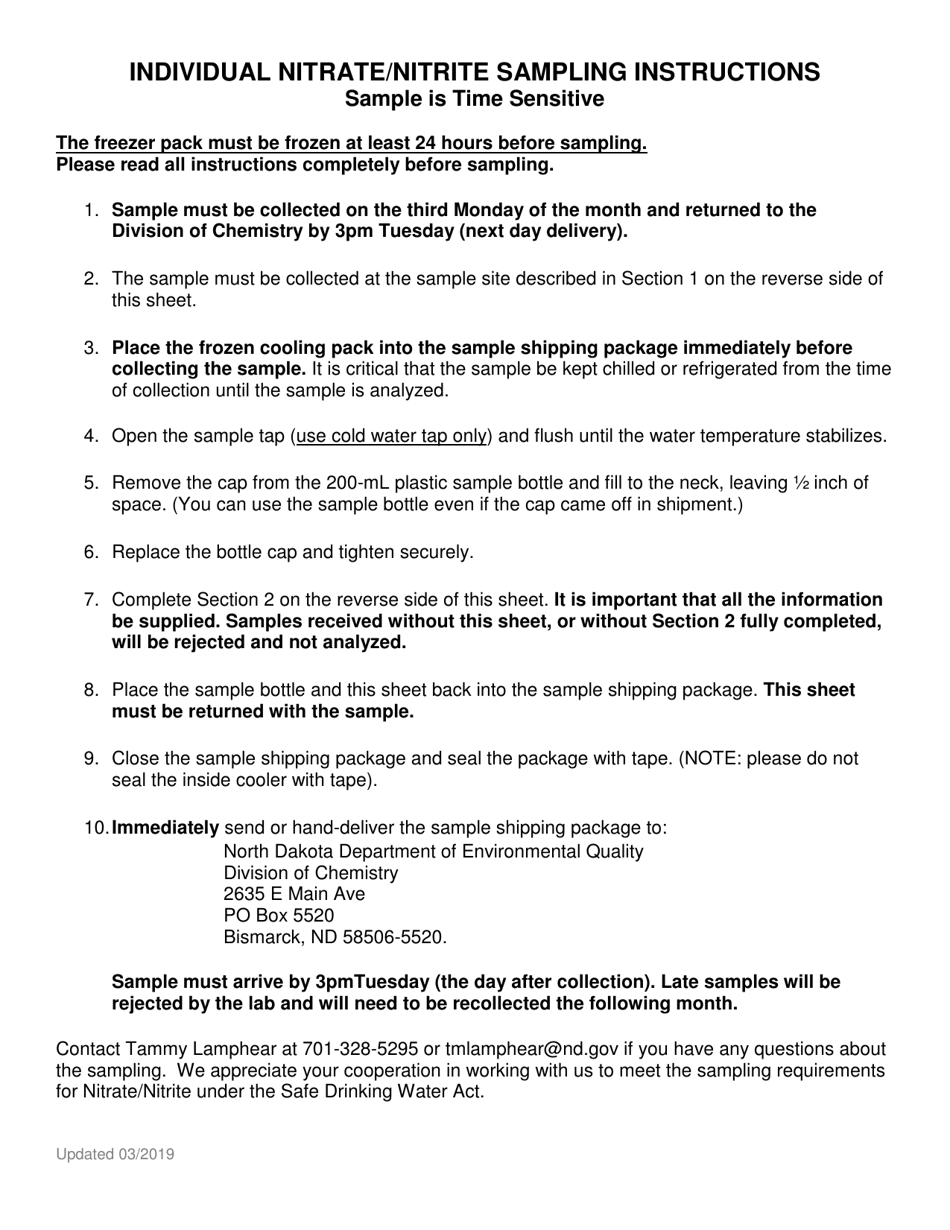
Individual Nitrate / Nitrite Sample Information Sheet - North Dakota

Notification Icon This version of the form is not currently in use and is provided for reference only. Download this version of the document for the current year.

Individual Nitrate / Nitrite Sample Information Sheet - North Dakota

Individual Nitrate/Nitrite Sample Information Sheet is a legal document that was released by the North Dakota Department of Environmental Quality - a government authority operating within North Dakota.

FAQ

Q: What is a Nitrate/Nitrite Sample Information Sheet?
A: It is a document that provides information about a specific nitrate/nitrite sample in North Dakota.

Q: Why is a Nitrate/Nitrite Sample Information Sheet important?
A: It helps to track and monitor the levels of nitrates and nitrites in water sources.

Q: What information does a Nitrate/Nitrite Sample Information Sheet provide?
A: It includes details about the location, date and time of sample collection, as well as the nitrate/nitrite concentration levels.

Q: How can I interpret the information on a Nitrate/Nitrite Sample Information Sheet?
A: You can compare the nitrate/nitrite concentration levels to the acceptable limits set by regulatory agencies to determine if it is safe for consumption.

Q: What should I do if the nitrate/nitrite levels on the information sheet are above the acceptable limits?
A: You should contact your local health department or water utility for further guidance on how to address the issue.

ADVERTISEMENT

Form Details:

  • Released on March 1, 2019;
  • The latest edition currently provided by the North Dakota Department of Environmental Quality;
  • Ready to use and print;
  • Easy to customize;
  • Compatible with most PDF-viewing applications;
  • Fill out the form in our online filing application.

Download a printable version of the form by clicking the link below or browse more documents and templates provided by the North Dakota Department of Environmental Quality.

Download Individual Nitrate / Nitrite Sample Information Sheet - North Dakota

4.3 of 5 (56 votes)
  • Individual Nitrate/Nitrite Sample Information Sheet - North Dakota

    1

  • Individual Nitrate/Nitrite Sample Information Sheet - North Dakota, Page 2

    2

  • Individual Nitrate / Nitrite Sample Information Sheet - North Dakota, Page 1
  • Individual Nitrate / Nitrite Sample Information Sheet - North Dakota, Page 2
Prev 1 2 Next
ADVERTISEMENT