Minnesota Uniform Firearm Application / Receipt Permit to Purchase / Transfer - Minnesota

Minnesota Uniform Firearm Application / Receipt Permit to Purchase / Transfer - Minnesota

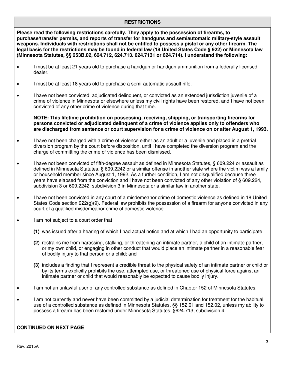
Minnesota Uniform Firearm Application/Receipt Permit to Purchase/Transfer is a legal document that was released by the Minnesota Department of Public Safety - a government authority operating within Minnesota.

FAQ

Q: What is the Minnesota Uniform Firearm Application/Receipt Permit to Purchase/Transfer?
A: The Minnesota Uniform Firearm Application/Receipt Permit to Purchase/Transfer is a document required to purchase or transfer a firearm in the state of Minnesota.

Q: Who needs to fill out this application?
A: Any individual who wishes to purchase or transfer a firearm in Minnesota needs to fill out the Uniform Firearm Application/Receipt Permit to Purchase/Transfer.

Q: What information do I need to provide on the application form?
A: The application form requires personal information, including name, address, date of birth, and details about the firearm you wish to purchase or transfer.

Q: Are there any fees associated with this permit?
A: Yes, there is a fee for obtaining a Permit to Purchase/Transfer. The fee amount may vary, so it's best to contact your local law enforcement agency for specific details.

Q: How long is the permit valid for?
A: The Permit to Purchase/Transfer is valid for one year from the date of issuance.

Q: Are there any restrictions or requirements to be eligible for this permit?
A: Yes, there are certain eligibility requirements and restrictions that vary depending on the type of firearm and the individual's background. These may include age restrictions, background checks, and compliance with federal and state laws.

Q: Can I use this permit to carry a concealed weapon?
A: No, the Permit to Purchase/Transfer is specifically for the purchase or transfer of a firearm and does not authorize the carry of a concealed weapon. Separate permits or licenses are required for concealed carry.

ADVERTISEMENT

Form Details:

  • Released on January 1, 2015;
  • The latest edition currently provided by the Minnesota Department of Public Safety;
  • Ready to use and print;
  • Easy to customize;
  • Compatible with most PDF-viewing applications;
  • Fill out the form in our online filing application.

Download a fillable version of the form by clicking the link below or browse more documents and templates provided by the Minnesota Department of Public Safety.

Download Minnesota Uniform Firearm Application / Receipt Permit to Purchase / Transfer - Minnesota

4.5 of 5 (16 votes)
  • Minnesota Uniform Firearm Application/Receipt Permit to Purchase/Transfer - Minnesota

    1

  • Minnesota Uniform Firearm Application/Receipt Permit to Purchase/Transfer - Minnesota, Page 2

    2

  • Minnesota Uniform Firearm Application/Receipt Permit to Purchase/Transfer - Minnesota, Page 3

    3

  • Minnesota Uniform Firearm Application/Receipt Permit to Purchase/Transfer - Minnesota, Page 4

    4

  • Minnesota Uniform Firearm Application/Receipt Permit to Purchase/Transfer - Minnesota, Page 5

    5

  • Minnesota Uniform Firearm Application / Receipt Permit to Purchase / Transfer - Minnesota, Page 1
  • Minnesota Uniform Firearm Application / Receipt Permit to Purchase / Transfer - Minnesota, Page 2
  • Minnesota Uniform Firearm Application / Receipt Permit to Purchase / Transfer - Minnesota, Page 3
  • Minnesota Uniform Firearm Application / Receipt Permit to Purchase / Transfer - Minnesota, Page 4
  • Minnesota Uniform Firearm Application / Receipt Permit to Purchase / Transfer - Minnesota, Page 5
Prev 1 2 3 4 5 Next
ADVERTISEMENT

Related Documents