Instructions for USCIS Form I-131 Application for Travel Document

Notification Icon This version of the form is not currently in use and is provided for reference only. Download this version of Instructions for USCIS Form I-131 for the current year.

Instructions for USCIS Form I-131 Application for Travel Document

This document contains official instructions for USCIS Form I-131 , Application for Travel Document - a form released and collected by the U.S. Department of Homeland Security - Citizenship and Immigration Services. An up-to-date fillable USCIS Form I-131 is available for download through this link.

FAQ

Q: What is USCIS Form I-131?
A: USCIS Form I-131 is the Application for Travel Document.

Q: Why would I need to fill out Form I-131?
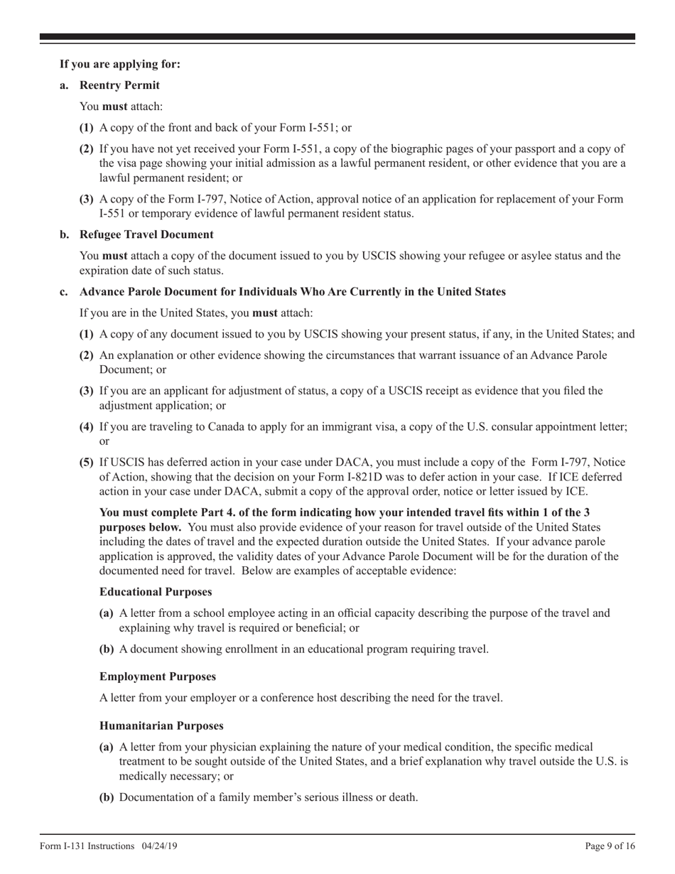
A: You would need to fill out Form I-131 if you want to apply for a travel document, such as a re-entry permit, refugee travel document, or advance parole.

Q: What is a re-entry permit?
A: A re-entry permit allows a lawful permanent resident to travel abroad and re-enter the United States without a returning resident visa.

Q: What is a refugee travel document?
A: A refugee travel document is for refugees or asylees who want to travel abroad and return to the United States.

Q: What is advance parole?
A: Advance parole allows certain individuals who are not U.S. citizens to travel abroad and be paroled into the United States.

Q: Who is eligible to apply for a travel document using Form I-131?
A: Lawful permanent residents, refugees, asylees, and certain non-U.S. citizens are eligible to apply for a travel document.

Q: What documents do I need to include with Form I-131?
A: The documents you need to include with Form I-131 can vary depending on your specific situation. However, common documents include identification documents, evidence of your status, and any required supporting evidence.

Q: Can I expedite the processing of Form I-131?
A: In certain cases, you may be able to request expedited processing of Form I-131. You would need to demonstrate a compelling reason for the expedited request.

Q: What happens after my Form I-131 is approved?
A: After your Form I-131 is approved, you will receive your travel document in the mail. Make sure to follow any instructions provided with the approval notice.

Q: What should I do if my Form I-131 is denied?
A: If your Form I-131 is denied, you should carefully review the denial notice for the reason(s) and consider consulting with an immigration attorney to explore your options.

Q: Can I travel while my Form I-131 is pending?
A: If you have applied for a travel document using Form I-131, and you depart the United States without first obtaining advance parole, your application will be considered abandoned.

ADVERTISEMENT

Instruction Details:

  • This 16-page document is available for download in PDF;
  • Actual and applicable for the current year;
  • Complete, printable, and free.

Download your copy of the instructions by clicking the link below or browse hundreds of other forms in our library of forms released by the U.S. Department of Homeland Security - Citizenship and Immigration Services.

Download Instructions for USCIS Form I-131 Application for Travel Document

4.3 of 5 (6 votes)
  • Instructions for USCIS Form I-131 Application for Travel Document

    1

  • Instructions for USCIS Form I-131 Application for Travel Document, Page 2

    2

  • Instructions for USCIS Form I-131 Application for Travel Document, Page 3

    3

  • Instructions for USCIS Form I-131 Application for Travel Document, Page 4

    4

  • Instructions for USCIS Form I-131 Application for Travel Document, Page 5

    5

  • Instructions for USCIS Form I-131 Application for Travel Document, Page 6

    6

  • Instructions for USCIS Form I-131 Application for Travel Document, Page 7

    7

  • Instructions for USCIS Form I-131 Application for Travel Document, Page 8

    8

  • Instructions for USCIS Form I-131 Application for Travel Document, Page 9

    9

  • Instructions for USCIS Form I-131 Application for Travel Document, Page 10

    10

  • Instructions for USCIS Form I-131 Application for Travel Document, Page 11

    11

  • Instructions for USCIS Form I-131 Application for Travel Document, Page 12

    12

  • Instructions for USCIS Form I-131 Application for Travel Document, Page 13

    13

  • Instructions for USCIS Form I-131 Application for Travel Document, Page 14

    14

  • Instructions for USCIS Form I-131 Application for Travel Document, Page 15

    15

  • Instructions for USCIS Form I-131 Application for Travel Document, Page 16

    16

  • Instructions for USCIS Form I-131 Application for Travel Document, Page 1
  • Instructions for USCIS Form I-131 Application for Travel Document, Page 2
  • Instructions for USCIS Form I-131 Application for Travel Document, Page 3
  • Instructions for USCIS Form I-131 Application for Travel Document, Page 4
  • Instructions for USCIS Form I-131 Application for Travel Document, Page 5
  • Instructions for USCIS Form I-131 Application for Travel Document, Page 6
  • Instructions for USCIS Form I-131 Application for Travel Document, Page 7
  • Instructions for USCIS Form I-131 Application for Travel Document, Page 8
  • Instructions for USCIS Form I-131 Application for Travel Document, Page 9
  • Instructions for USCIS Form I-131 Application for Travel Document, Page 10
  • Instructions for USCIS Form I-131 Application for Travel Document, Page 11
  • Instructions for USCIS Form I-131 Application for Travel Document, Page 12
  • Instructions for USCIS Form I-131 Application for Travel Document, Page 13
  • Instructions for USCIS Form I-131 Application for Travel Document, Page 14
  • Instructions for USCIS Form I-131 Application for Travel Document, Page 15
  • Instructions for USCIS Form I-131 Application for Travel Document, Page 16
Prev 1 2 3 4 5 ... 16 Next
ADVERTISEMENT