Form DBPR BCAIB10 Application for Division of State Fire Marshal Education Course and Provider Approval - Florida

Notification Icon This version of the form is not currently in use and is provided for reference only. Download this version of Form DBPR BCAIB10 for the current year.

Form DBPR BCAIB10 Application for Division of State Fire Marshal Education Course and Provider Approval - Florida

What Is Form DBPR BCAIB10?

This is a legal form that was released by the Florida Department of Business & Professional Regulation - a government authority operating within Florida. As of today, no separate filing guidelines for the form are provided by the issuing department.

FAQ

Q: What is DBPR BCAIB10?
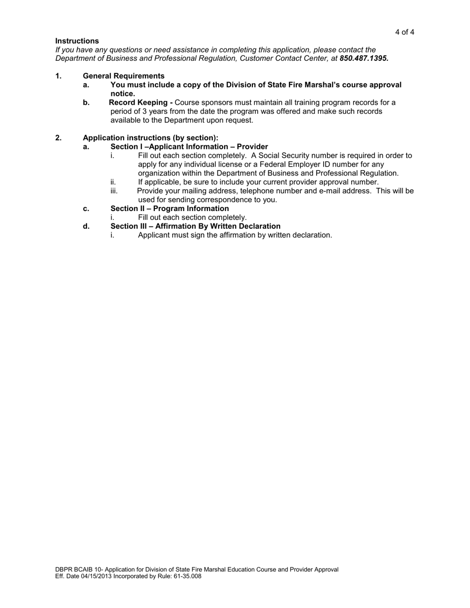
A: DBPR BCAIB10 is an application form for Division of State Fire Marshal Education Course and Provider Approval in Florida.

Q: What is the purpose of DBPR BCAIB10?
A: The purpose of DBPR BCAIB10 is to apply for approval as an education course or provider for the Division of State Fire Marshal in Florida.

Q: Who can use DBPR BCAIB10?
A: DBPR BCAIB10 can be used by individuals or organizations seeking approval to conduct fire safety education courses in Florida.

Q: What information is required in DBPR BCAIB10 application?
A: DBPR BCAIB10 application requires information such as personal details, course details, curriculum, proof of qualifications, and fees.

Q: How long does it take to process DBPR BCAIB10 application?
A: The processing time for DBPR BCAIB10 application may vary, but it typically takes several weeks to review and approve the application.

Q: Is there a fee for submitting DBPR BCAIB10 application?
A: Yes, there is a fee associated with submitting the DBPR BCAIB10 application. The fee amount may vary.

ADVERTISEMENT

Form Details:

  • Released on April 15, 2013;
  • The latest edition provided by the Florida Department of Business & Professional Regulation;
  • Easy to use and ready to print;
  • Quick to customize;
  • Compatible with most PDF-viewing applications;
  • Fill out the form in our online filing application.

Download a printable version of Form DBPR BCAIB10 by clicking the link below or browse more documents and templates provided by the Florida Department of Business & Professional Regulation.

Download Form DBPR BCAIB10 Application for Division of State Fire Marshal Education Course and Provider Approval - Florida

4.6 of 5 (7 votes)
  • Form DBPR BCAIB10 Application for Division of State Fire Marshal Education Course and Provider Approval - Florida

    1

  • Form DBPR BCAIB10 Application for Division of State Fire Marshal Education Course and Provider Approval - Florida, Page 2

    2

  • Form DBPR BCAIB10 Application for Division of State Fire Marshal Education Course and Provider Approval - Florida, Page 3

    3

  • Form DBPR BCAIB10 Application for Division of State Fire Marshal Education Course and Provider Approval - Florida, Page 4

    4

  • Form DBPR BCAIB10 Application for Division of State Fire Marshal Education Course and Provider Approval - Florida, Page 1
  • Form DBPR BCAIB10 Application for Division of State Fire Marshal Education Course and Provider Approval - Florida, Page 2
  • Form DBPR BCAIB10 Application for Division of State Fire Marshal Education Course and Provider Approval - Florida, Page 3
  • Form DBPR BCAIB10 Application for Division of State Fire Marshal Education Course and Provider Approval - Florida, Page 4
Prev 1 2 3 4 Next
ADVERTISEMENT