Form DBPR VM8 Continuing Education Course Approval Application - Florida

Form DBPR VM8 Continuing Education Course Approval Application - Florida

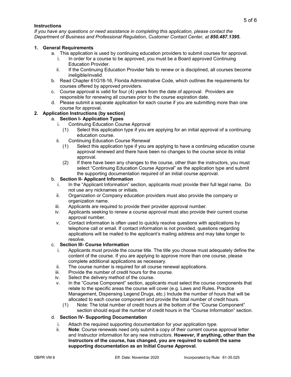
What Is Form DBPR VM8?

This is a legal form that was released by the Florida Department of Business & Professional Regulation - a government authority operating within Florida. As of today, no separate filing guidelines for the form are provided by the issuing department.

FAQ

Q: What is a DBPR VM8?
A: DBPR VM8 is a Continuing Education Course Approval Application form used in Florida.

Q: What is the purpose of DBPR VM8 form?
A: The purpose of DBPR VM8 form is to apply for approval of a Continuing Education Course in Florida.

Q: Who needs to fill out the DBPR VM8 form?
A: Providers of Continuing Education Courses in Florida need to fill out the DBPR VM8 form.

Q: What information is required in the DBPR VM8 form?
A: The DBPR VM8 form requires information such as provider details, course details, and supporting documents.

Q: Is there a fee associated with the DBPR VM8 form?
A: Yes, a fee is required to be submitted along with the DBPR VM8 form.

Q: How long does it take to get approval for a Continuing Education Course in Florida?
A: The processing time for the DBPR VM8 form varies, but it usually takes a few weeks to receive approval.

ADVERTISEMENT

Form Details:

  • Released on November 1, 2020;
  • The latest edition provided by the Florida Department of Business & Professional Regulation;
  • Easy to use and ready to print;
  • Quick to customize;
  • Compatible with most PDF-viewing applications;
  • Fill out the form in our online filing application.

Download a printable version of Form DBPR VM8 by clicking the link below or browse more documents and templates provided by the Florida Department of Business & Professional Regulation.

Download Form DBPR VM8 Continuing Education Course Approval Application - Florida

4.3 of 5 (8 votes)
  • Form DBPR VM8 Continuing Education Course Approval Application - Florida

    1

  • Form DBPR VM8 Continuing Education Course Approval Application - Florida, Page 2

    2

  • Form DBPR VM8 Continuing Education Course Approval Application - Florida, Page 3

    3

  • Form DBPR VM8 Continuing Education Course Approval Application - Florida, Page 4

    4

  • Form DBPR VM8 Continuing Education Course Approval Application - Florida, Page 5

    5

  • Form DBPR VM8 Continuing Education Course Approval Application - Florida, Page 6

    6

  • Form DBPR VM8 Continuing Education Course Approval Application - Florida, Page 1
  • Form DBPR VM8 Continuing Education Course Approval Application - Florida, Page 2
  • Form DBPR VM8 Continuing Education Course Approval Application - Florida, Page 3
  • Form DBPR VM8 Continuing Education Course Approval Application - Florida, Page 4
  • Form DBPR VM8 Continuing Education Course Approval Application - Florida, Page 5
  • Form DBPR VM8 Continuing Education Course Approval Application - Florida, Page 6
Prev 1 2 3 4 5 6 Next
ADVERTISEMENT

Related Documents