DBPR Form VM7 Continuing Education Provider Application - Florida

DBPR Form VM7 Continuing Education Provider Application - Florida

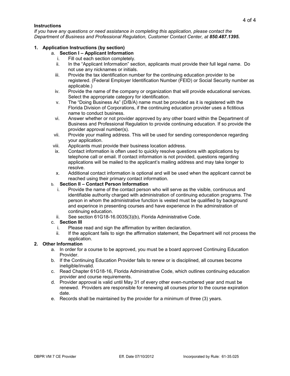
What Is DBPR Form VM7?

This is a legal form that was released by the Florida Department of Business & Professional Regulation - a government authority operating within Florida. As of today, no separate filing guidelines for the form are provided by the issuing department.

FAQ

Q: What is the DBPR Form VM7?
A: The DBPR Form VM7 is an application for providers of continuing education in Florida.

Q: Who needs to fill out the DBPR Form VM7?
A: Providers of continuing education in Florida need to fill out the DBPR Form VM7.

Q: What is the purpose of the DBPR Form VM7?
A: The purpose of the DBPR Form VM7 is to apply to become a provider of continuing education in Florida.

Q: What information is required on the DBPR Form VM7?
A: The DBPR Form VM7 requires information such as the provider's name, contact information, course details, and documentation of qualifications.

Q: How long does it take to process the DBPR Form VM7?
A: The processing time for the DBPR Form VM7 can vary, but it typically takes several weeks.

Q: What happens after the DBPR Form VM7 is approved?
A: After the DBPR Form VM7 is approved, the provider will be authorized to offer continuing education courses in Florida.

Q: What should I do if I have additional questions about the DBPR Form VM7?
A: If you have additional questions about the DBPR Form VM7, you can contact the DBPR directly for assistance.

ADVERTISEMENT

Form Details:

  • Released on July 10, 2012;
  • The latest edition provided by the Florida Department of Business & Professional Regulation;
  • Easy to use and ready to print;
  • Quick to customize;
  • Compatible with most PDF-viewing applications;
  • Fill out the form in our online filing application.

Download a printable version of DBPR Form VM7 by clicking the link below or browse more documents and templates provided by the Florida Department of Business & Professional Regulation.

Download DBPR Form VM7 Continuing Education Provider Application - Florida

4.8 of 5 (50 votes)
  • DBPR Form VM7 Continuing Education Provider Application - Florida

    1

  • DBPR Form VM7 Continuing Education Provider Application - Florida, Page 2

    2

  • DBPR Form VM7 Continuing Education Provider Application - Florida, Page 3

    3

  • DBPR Form VM7 Continuing Education Provider Application - Florida, Page 4

    4

  • DBPR Form VM7 Continuing Education Provider Application - Florida, Page 1
  • DBPR Form VM7 Continuing Education Provider Application - Florida, Page 2
  • DBPR Form VM7 Continuing Education Provider Application - Florida, Page 3
  • DBPR Form VM7 Continuing Education Provider Application - Florida, Page 4
Prev 1 2 3 4 Next
ADVERTISEMENT

Related Documents