DBPR Form VM8 Continuing Education Course Approval Application - Florida

DBPR Form VM8 Continuing Education Course Approval Application - Florida

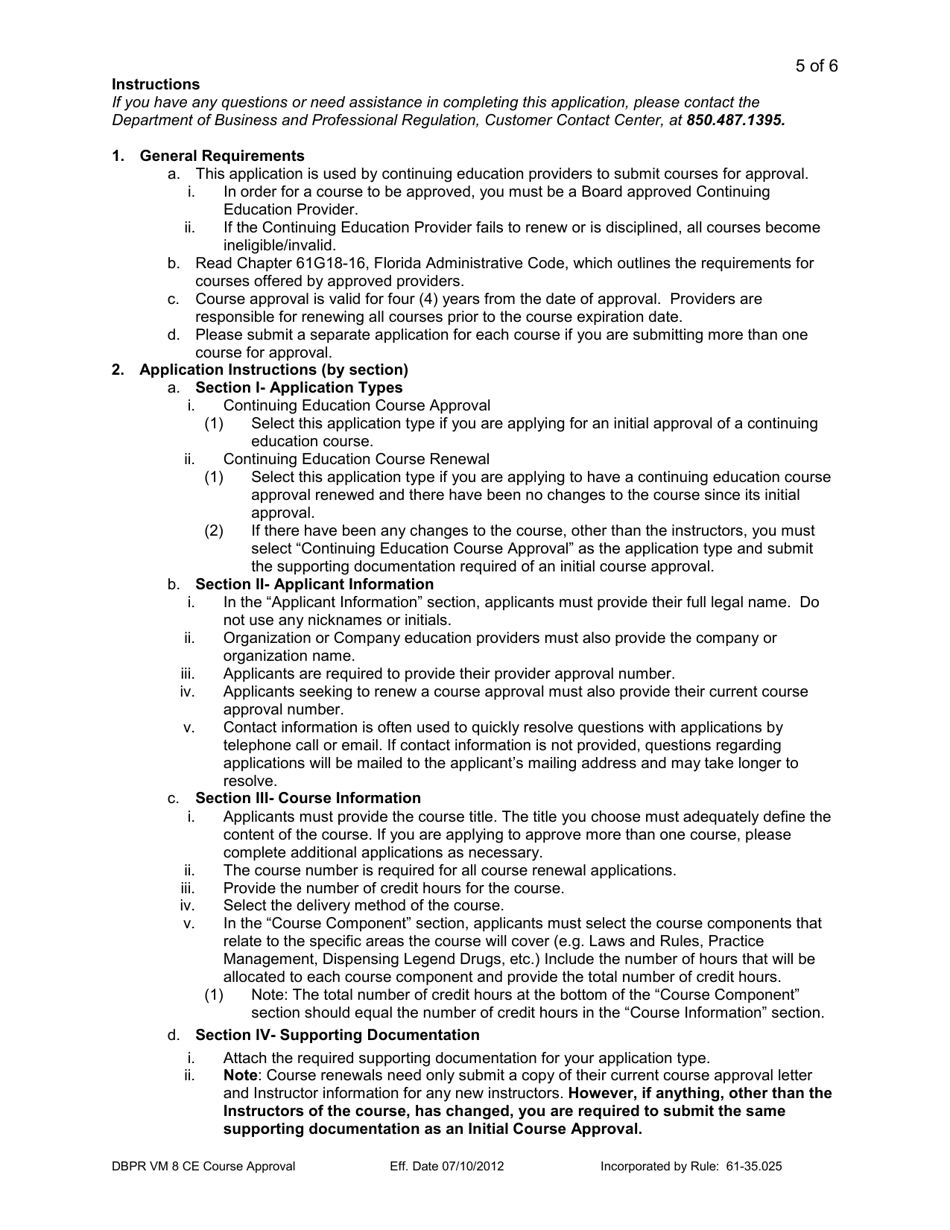
What Is DBPR Form VM8?

This is a legal form that was released by the Florida Department of Business & Professional Regulation - a government authority operating within Florida. As of today, no separate filing guidelines for the form are provided by the issuing department.

FAQ

Q: What is DBPR?
A: DBPR stands for Department of Business and Professional Regulation.

Q: What is Form VM8?
A: Form VM8 is the Continuing Education Course Approval Application.

Q: What is the purpose of Form VM8?
A: The purpose of Form VM8 is to apply for approval of continuing education courses.

Q: Which state is Form VM8 applicable to?
A: Form VM8 is applicable to the state of Florida.

Q: Who can use Form VM8?
A: Providers of continuing education courses can use Form VM8.

ADVERTISEMENT

Form Details:

  • Released on July 10, 2012;
  • The latest edition provided by the Florida Department of Business & Professional Regulation;
  • Easy to use and ready to print;
  • Quick to customize;
  • Compatible with most PDF-viewing applications;
  • Fill out the form in our online filing application.

Download a printable version of DBPR Form VM8 by clicking the link below or browse more documents and templates provided by the Florida Department of Business & Professional Regulation.

Download DBPR Form VM8 Continuing Education Course Approval Application - Florida

4.4 of 5 (55 votes)
  • DBPR Form VM8 Continuing Education Course Approval Application - Florida

    1

  • DBPR Form VM8 Continuing Education Course Approval Application - Florida, Page 2

    2

  • DBPR Form VM8 Continuing Education Course Approval Application - Florida, Page 3

    3

  • DBPR Form VM8 Continuing Education Course Approval Application - Florida, Page 4

    4

  • DBPR Form VM8 Continuing Education Course Approval Application - Florida, Page 5

    5

  • DBPR Form VM8 Continuing Education Course Approval Application - Florida, Page 6

    6

  • DBPR Form VM8 Continuing Education Course Approval Application - Florida, Page 1
  • DBPR Form VM8 Continuing Education Course Approval Application - Florida, Page 2
  • DBPR Form VM8 Continuing Education Course Approval Application - Florida, Page 3
  • DBPR Form VM8 Continuing Education Course Approval Application - Florida, Page 4
  • DBPR Form VM8 Continuing Education Course Approval Application - Florida, Page 5
  • DBPR Form VM8 Continuing Education Course Approval Application - Florida, Page 6
Prev 1 2 3 4 5 6 Next
ADVERTISEMENT

Related Documents