Form HSMV85041 Address Change Form - Florida

Notification Icon This version of the form is not currently in use and is provided for reference only. Download this version of Form HSMV85041 for the current year.

Form HSMV85041 Address Change Form - Florida

What Is Form HSMV85041?

This is a legal form that was released by the Florida Department of Highway Safety and Motor Vehicles - a government authority operating within Florida. As of today, no separate filing guidelines for the form are provided by the issuing department.

Form Details:

  • Released on February 26, 2020;
  • The latest edition provided by the Florida Department of Highway Safety and Motor Vehicles;
  • Easy to use and ready to print;
  • Quick to customize;
  • Compatible with most PDF-viewing applications;
  • Fill out the form in our online filing application.

Download a fillable version of Form HSMV85041 by clicking the link below or browse more documents and templates provided by the Florida Department of Highway Safety and Motor Vehicles.

ADVERTISEMENT

Download Form HSMV85041 Address Change Form - Florida

4.3 of 5 (46 votes)
  • Form HSMV85041 Address Change Form - Florida

    1

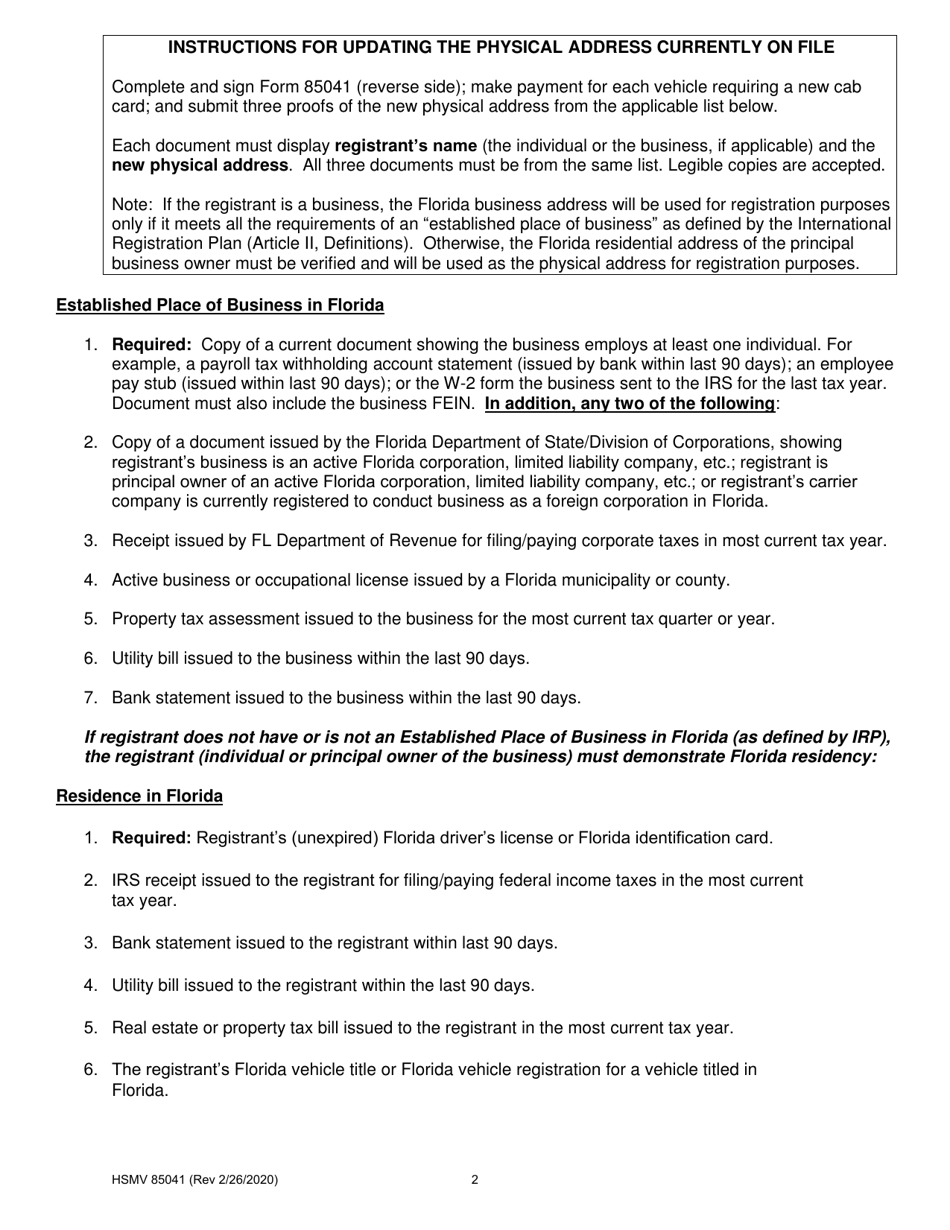
  • Form HSMV85041 Address Change Form - Florida, Page 2

    2

  • Form HSMV85041 Address Change Form - Florida, Page 1
  • Form HSMV85041 Address Change Form - Florida, Page 2
Prev 1 2 Next
ADVERTISEMENT