Form 6 Transmission Application for Registration as Devisee / Legatee - Queensland, Australia

Form 6 Transmission Application for Registration as Devisee / Legatee - Queensland, Australia

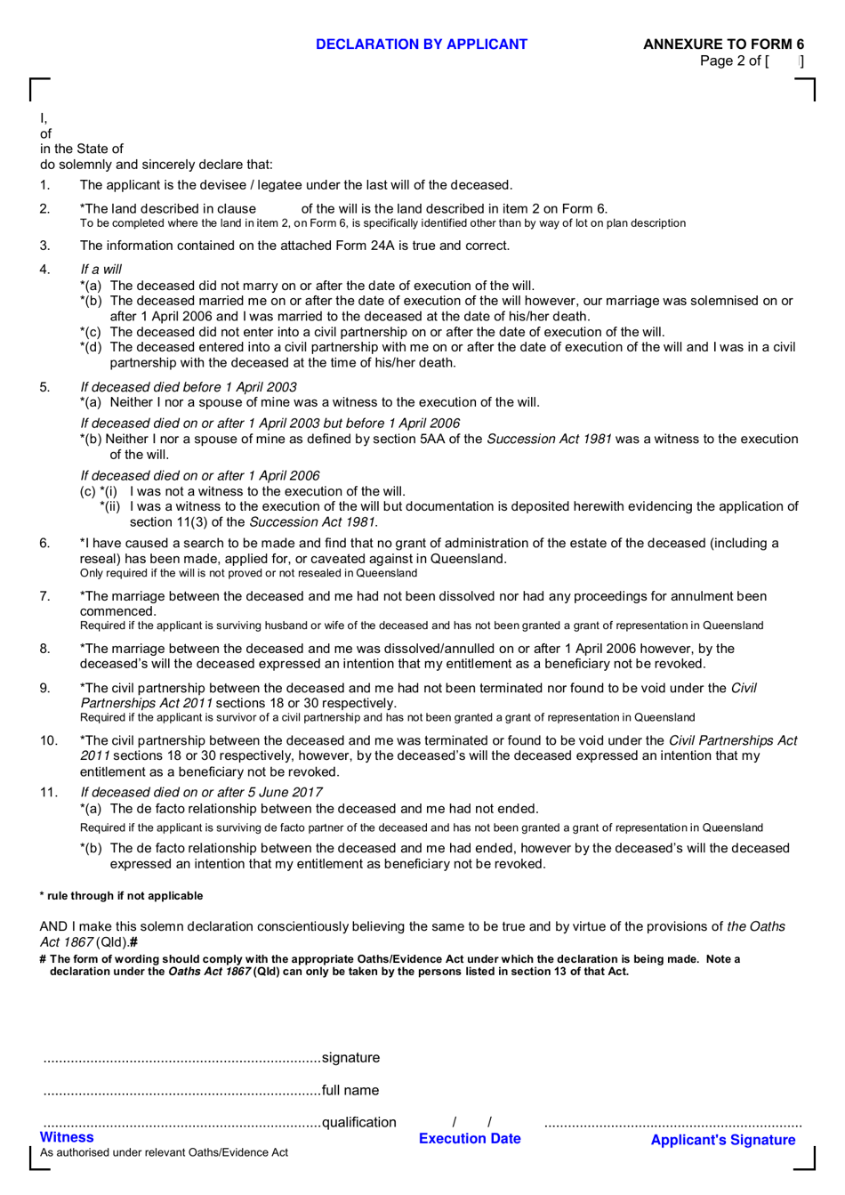
The Form 6 Transmission Application for Registration as Devisee/Legatee is used in Queensland, Australia to apply for the registration of ownership of property after the death of the original owner. This form is typically used by beneficiaries of a deceased person's estate to transfer the property into their names.

FAQ

Q: What is Form 6 Transmission Application?
A: Form 6 Transmission Application is a document used in Queensland, Australia for the registration of a person as devisee or legatee.

Q: Who can use Form 6 Transmission Application?
A: Form 6 Transmission Application can be used by individuals who are entitled to receive property as a result of a deceased person's will or intestacy laws.

Q: What is the purpose of Form 6 Transmission Application?
A: The purpose of Form 6 Transmission Application is to notify the Queensland Titles Registry of a change in ownership of property due to the death of the previous owner.

Q: What information is required in Form 6 Transmission Application?
A: Form 6 Transmission Application requires information about the deceased person, the applicant, and the property being transferred.

Q: How do I submit Form 6 Transmission Application?
A: Form 6 Transmission Application can be submitted in person or by mail to the Queensland Titles Registry.

Q: Is legal advice required for completing Form 6 Transmission Application?
A: While it is not required, it is recommended to seek legal advice when completing Form 6 Transmission Application to ensure compliance with the relevant laws and regulations.

ADVERTISEMENT

Download Form 6 Transmission Application for Registration as Devisee / Legatee - Queensland, Australia

4.8 of 5 (20 votes)
  • Form 6 Transmission Application for Registration as Devisee/Legatee - Queensland, Australia

    1

  • Form 6 Transmission Application for Registration as Devisee/Legatee - Queensland, Australia, Page 2

    2

  • Form 6 Transmission Application for Registration as Devisee/Legatee - Queensland, Australia, Page 3

    3

  • Form 6 Transmission Application for Registration as Devisee / Legatee - Queensland, Australia, Page 1
  • Form 6 Transmission Application for Registration as Devisee / Legatee - Queensland, Australia, Page 2
  • Form 6 Transmission Application for Registration as Devisee / Legatee - Queensland, Australia, Page 3
Prev 1 2 3 Next
ADVERTISEMENT