Appendix 2 Safe Schools Incident Reporting Form - Ontario, Canada

Appendix 2 Safe Schools Incident Reporting Form - Ontario, Canada

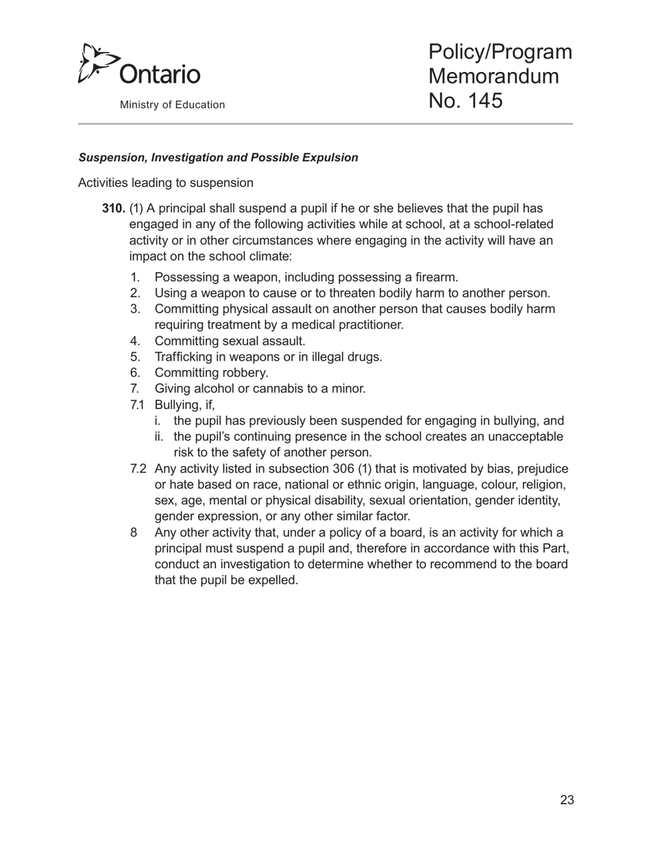
Appendix 2 Safe Schools Incident Reporting Form in Ontario, Canada is a document used by schools to report any incidents or safety concerns that occur within the school premises. It helps to ensure a safe and secure learning environment for students and staff members.

The Appendix 2 Safe Schools Incident Reporting Form in Ontario, Canada is typically filed by school administrators or authorized personnel.

FAQ

Q: What is Appendix 2?
A: Appendix 2 is the Safe Schools Incident Reporting Form in Ontario, Canada.

Q: What is the purpose of the Safe Schools Incident Reporting Form?
A: The purpose of the form is to report incidents that occur in safe schools.

Q: Who is responsible for filling out the form?
A: It is typically filled out by school administrators or staff members.

Q: What information is included in the form?
A: The form collects information about the incident, individuals involved, and any actions taken.

Q: Is the form specific to Ontario, Canada?
A: Yes, the form is specific to Ontario, Canada.

ADVERTISEMENT

Download Appendix 2 Safe Schools Incident Reporting Form - Ontario, Canada

4.4 of 5 (13 votes)
  • Appendix 2 Safe Schools Incident Reporting Form - Ontario, Canada

    1

  • Appendix 2 Safe Schools Incident Reporting Form - Ontario, Canada, Page 2

    2

  • Appendix 2 Safe Schools Incident Reporting Form - Ontario, Canada, Page 3

    3

  • Appendix 2 Safe Schools Incident Reporting Form - Ontario, Canada, Page 4

    4

  • Appendix 2 Safe Schools Incident Reporting Form - Ontario, Canada, Page 5

    5

  • Appendix 2 Safe Schools Incident Reporting Form - Ontario, Canada, Page 6

    6

  • Appendix 2 Safe Schools Incident Reporting Form - Ontario, Canada, Page 7

    7

  • Appendix 2 Safe Schools Incident Reporting Form - Ontario, Canada, Page 8

    8

  • Appendix 2 Safe Schools Incident Reporting Form - Ontario, Canada, Page 9

    9

  • Appendix 2 Safe Schools Incident Reporting Form - Ontario, Canada, Page 10

    10

  • Appendix 2 Safe Schools Incident Reporting Form - Ontario, Canada, Page 11

    11

  • Appendix 2 Safe Schools Incident Reporting Form - Ontario, Canada, Page 12

    12

  • Appendix 2 Safe Schools Incident Reporting Form - Ontario, Canada, Page 13

    13

  • Appendix 2 Safe Schools Incident Reporting Form - Ontario, Canada, Page 14

    14

  • Appendix 2 Safe Schools Incident Reporting Form - Ontario, Canada, Page 15

    15

  • Appendix 2 Safe Schools Incident Reporting Form - Ontario, Canada, Page 16

    16

  • Appendix 2 Safe Schools Incident Reporting Form - Ontario, Canada, Page 17

    17

  • Appendix 2 Safe Schools Incident Reporting Form - Ontario, Canada, Page 18

    18

  • Appendix 2 Safe Schools Incident Reporting Form - Ontario, Canada, Page 19

    19

  • Appendix 2 Safe Schools Incident Reporting Form - Ontario, Canada, Page 20

    20

  • Appendix 2 Safe Schools Incident Reporting Form - Ontario, Canada, Page 21

    21

  • Appendix 2 Safe Schools Incident Reporting Form - Ontario, Canada, Page 22

    22

  • Appendix 2 Safe Schools Incident Reporting Form - Ontario, Canada, Page 23

    23

  • Appendix 2 Safe Schools Incident Reporting Form - Ontario, Canada, Page 24

    24

  • Appendix 2 Safe Schools Incident Reporting Form - Ontario, Canada, Page 25

    25

  • Appendix 2 Safe Schools Incident Reporting Form - Ontario, Canada, Page 26

    26

  • Appendix 2 Safe Schools Incident Reporting Form - Ontario, Canada, Page 1
  • Appendix 2 Safe Schools Incident Reporting Form - Ontario, Canada, Page 2
  • Appendix 2 Safe Schools Incident Reporting Form - Ontario, Canada, Page 3
  • Appendix 2 Safe Schools Incident Reporting Form - Ontario, Canada, Page 4
  • Appendix 2 Safe Schools Incident Reporting Form - Ontario, Canada, Page 5
  • Appendix 2 Safe Schools Incident Reporting Form - Ontario, Canada, Page 6
  • Appendix 2 Safe Schools Incident Reporting Form - Ontario, Canada, Page 7
  • Appendix 2 Safe Schools Incident Reporting Form - Ontario, Canada, Page 8
  • Appendix 2 Safe Schools Incident Reporting Form - Ontario, Canada, Page 9
  • Appendix 2 Safe Schools Incident Reporting Form - Ontario, Canada, Page 10
  • Appendix 2 Safe Schools Incident Reporting Form - Ontario, Canada, Page 11
  • Appendix 2 Safe Schools Incident Reporting Form - Ontario, Canada, Page 12
  • Appendix 2 Safe Schools Incident Reporting Form - Ontario, Canada, Page 13
  • Appendix 2 Safe Schools Incident Reporting Form - Ontario, Canada, Page 14
  • Appendix 2 Safe Schools Incident Reporting Form - Ontario, Canada, Page 15
  • Appendix 2 Safe Schools Incident Reporting Form - Ontario, Canada, Page 16
  • Appendix 2 Safe Schools Incident Reporting Form - Ontario, Canada, Page 17
  • Appendix 2 Safe Schools Incident Reporting Form - Ontario, Canada, Page 18
  • Appendix 2 Safe Schools Incident Reporting Form - Ontario, Canada, Page 19
  • Appendix 2 Safe Schools Incident Reporting Form - Ontario, Canada, Page 20
  • Appendix 2 Safe Schools Incident Reporting Form - Ontario, Canada, Page 21
  • Appendix 2 Safe Schools Incident Reporting Form - Ontario, Canada, Page 22
  • Appendix 2 Safe Schools Incident Reporting Form - Ontario, Canada, Page 23
  • Appendix 2 Safe Schools Incident Reporting Form - Ontario, Canada, Page 24
  • Appendix 2 Safe Schools Incident Reporting Form - Ontario, Canada, Page 25
  • Appendix 2 Safe Schools Incident Reporting Form - Ontario, Canada, Page 26
Prev 1 2 3 4 5 ... 26 Next
ADVERTISEMENT