Form NHJB-2209-F Acknowledgment of Possible Consequences to Parental Rights in Abuse and Neglect Cases - New Hampshire

Notification Icon This version of the form is not currently in use and is provided for reference only. Download this version of Form NHJB-2209-F for the current year.

Form NHJB-2209-F Acknowledgment of Possible Consequences to Parental Rights in Abuse and Neglect Cases - New Hampshire

What Is Form NHJB-2209-F?

This is a legal form that was released by the New Hampshire Judicial Branch - a government authority operating within New Hampshire. As of today, no separate filing guidelines for the form are provided by the issuing department.

FAQ

Q: What is form NHJB-2209-F?
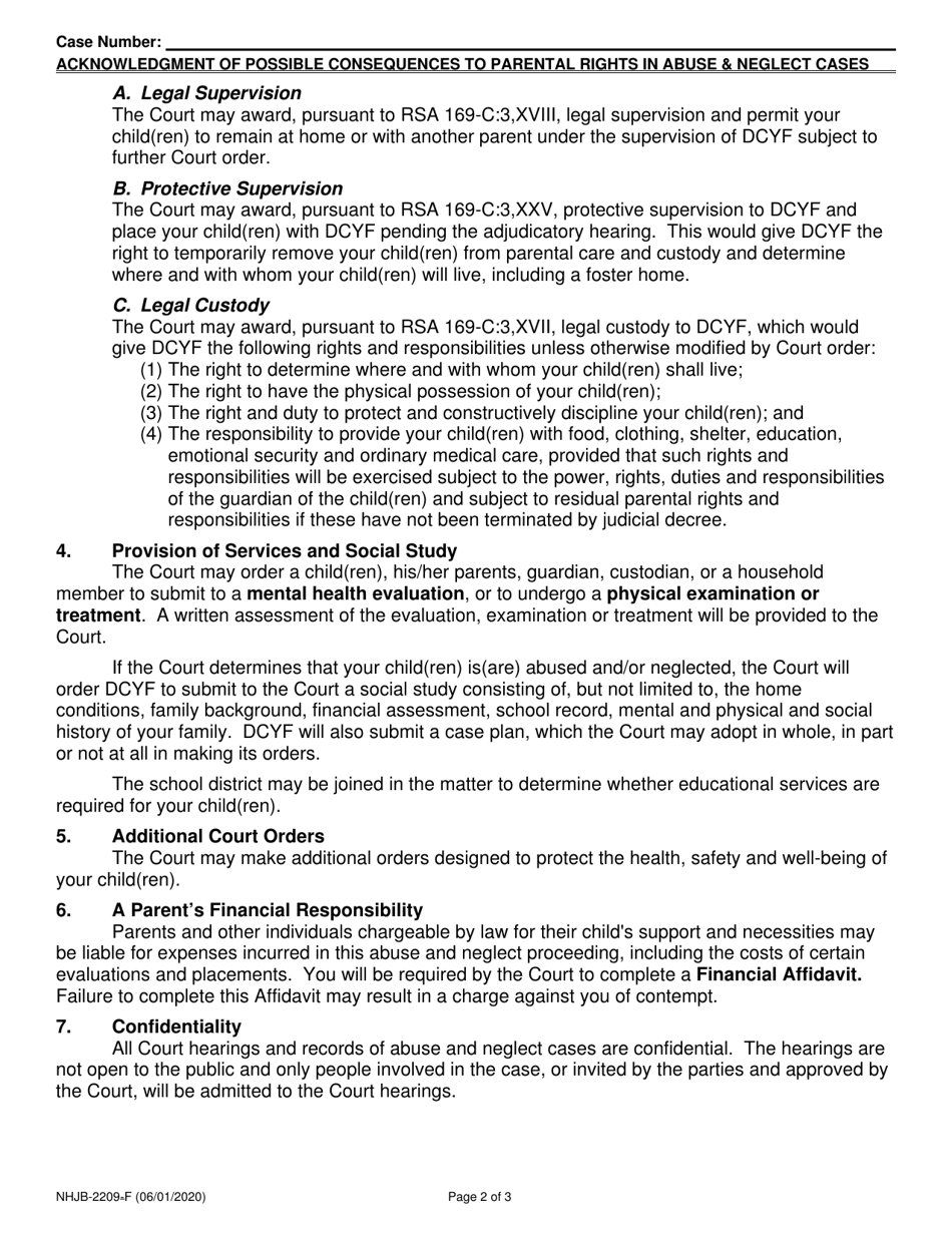
A: Form NHJB-2209-F is the Acknowledgment of Possible Consequences to Parental Rights in Abuse and Neglect Cases in New Hampshire.

Q: What is the purpose of form NHJB-2209-F?
A: The purpose of form NHJB-2209-F is to inform parents about the possible consequences to their parental rights in abuse and neglect cases.

Q: Who should use form NHJB-2209-F?
A: Form NHJB-2209-F should be used by parents involved in abuse and neglect cases in New Hampshire.

Q: What information does form NHJB-2209-F provide?
A: Form NHJB-2209-F provides information about the possible consequences to parental rights, including termination of parental rights, voluntary relinquishment, and permanency planning.

ADVERTISEMENT

Form Details:

  • Released on June 1, 2020;
  • The latest edition provided by the New Hampshire Judicial Branch;
  • Easy to use and ready to print;
  • Quick to customize;
  • Compatible with most PDF-viewing applications;
  • Fill out the form in our online filing application.

Download a fillable version of Form NHJB-2209-F by clicking the link below or browse more documents and templates provided by the New Hampshire Judicial Branch.

Download Form NHJB-2209-F Acknowledgment of Possible Consequences to Parental Rights in Abuse and Neglect Cases - New Hampshire

4.8 of 5 (6 votes)
  • Form NHJB-2209-F Acknowledgment of Possible Consequences to Parental Rights in Abuse and Neglect Cases - New Hampshire

    1

  • Form NHJB-2209-F Acknowledgment of Possible Consequences to Parental Rights in Abuse and Neglect Cases - New Hampshire, Page 2

    2

  • Form NHJB-2209-F Acknowledgment of Possible Consequences to Parental Rights in Abuse and Neglect Cases - New Hampshire, Page 3

    3

  • Form NHJB-2209-F Acknowledgment of Possible Consequences to Parental Rights in Abuse and Neglect Cases - New Hampshire, Page 1
  • Form NHJB-2209-F Acknowledgment of Possible Consequences to Parental Rights in Abuse and Neglect Cases - New Hampshire, Page 2
  • Form NHJB-2209-F Acknowledgment of Possible Consequences to Parental Rights in Abuse and Neglect Cases - New Hampshire, Page 3
Prev 1 2 3 Next
ADVERTISEMENT

Related Documents