Form 623 Application for Renewal of Registration of Corporate Name - Foreign Business Corporation - Rhode Island

Notification Icon This version of the form is not currently in use and is provided for reference only. Download this version of Form 623 for the current year.

Form 623 Application for Renewal of Registration of Corporate Name - Foreign Business Corporation - Rhode Island

What Is Form 623?

This is a legal form that was released by the Rhode Island Secretary of State - a government authority operating within Rhode Island. As of today, no separate filing guidelines for the form are provided by the issuing department.

FAQ

Q: What is Form 623?
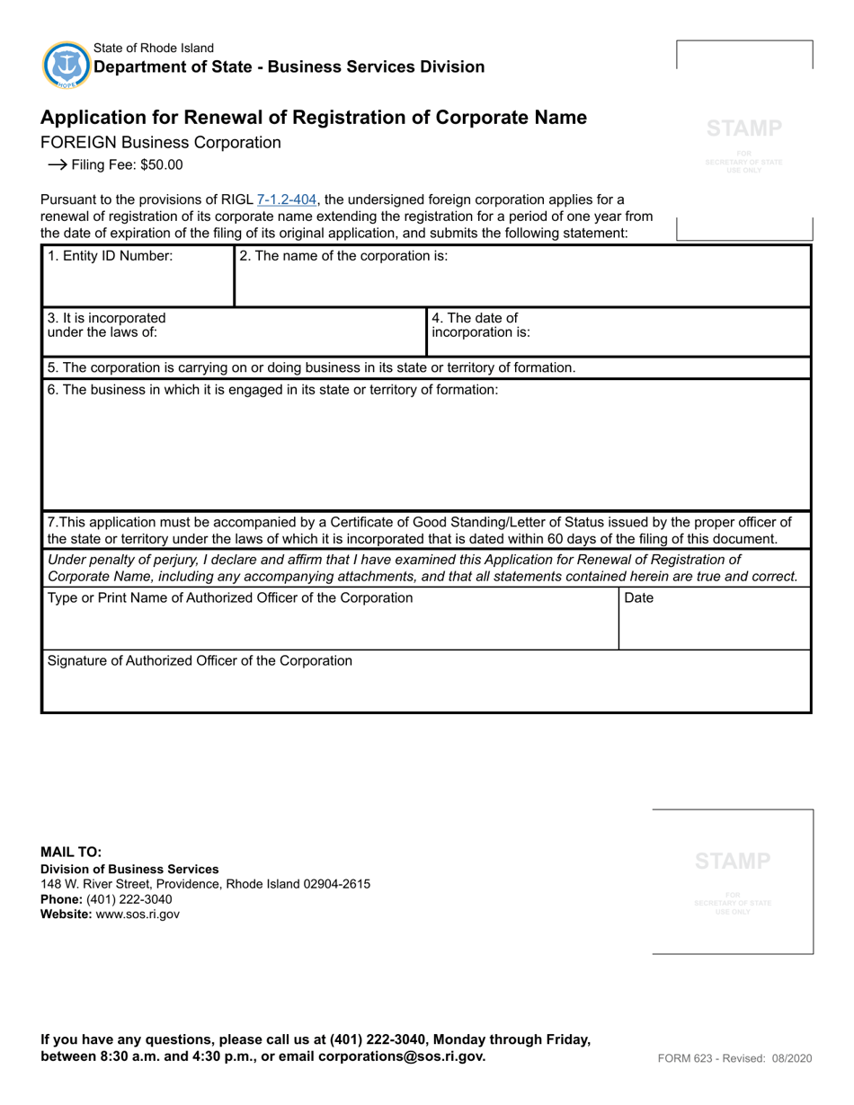
A: Form 623 is an application for renewal of registration of a corporate name for a foreign business corporation in Rhode Island.

Q: Who can use Form 623?
A: Form 623 can be used by foreign business corporations wishing to renew their registration of a corporate name in Rhode Island.

Q: What is the purpose of Form 623?
A: The purpose of Form 623 is to renew the registration of a corporate name for a foreign business corporation in Rhode Island.

Q: What information is required on Form 623?
A: Form 623 requires information such as the name of the corporation, its principal place of business, and the name and address of its registered agent in Rhode Island.

Q: Is there a deadline for filing Form 623?
A: Yes, Form 623 must be filed before the expiration date of the corporation's current registration of its corporate name in Rhode Island.

Q: What happens after Form 623 is filed?
A: After Form 623 is filed and the fee is paid, the registration of the corporation's corporate name is renewed for a specified period of time in Rhode Island.

Q: Are there any other requirements for foreign business corporations in Rhode Island?
A: Yes, foreign business corporations are also required to file an annual report with the Rhode Island Secretary of State and pay an annual fee.

ADVERTISEMENT

Form Details:

  • Released on August 1, 2020;
  • The latest edition provided by the Rhode Island Secretary of State;
  • Easy to use and ready to print;
  • Quick to customize;
  • Compatible with most PDF-viewing applications;
  • Fill out the form in our online filing application.

Download a fillable version of Form 623 by clicking the link below or browse more documents and templates provided by the Rhode Island Secretary of State.

Download Form 623 Application for Renewal of Registration of Corporate Name - Foreign Business Corporation - Rhode Island

4.3 of 5 (7 votes)
  • Form 623 Application for Renewal of Registration of Corporate Name - Foreign Business Corporation - Rhode Island

    1

  • Form 623 Application for Renewal of Registration of Corporate Name - Foreign Business Corporation - Rhode Island, Page 2

    2

  • Form 623 Application for Renewal of Registration of Corporate Name - Foreign Business Corporation - Rhode Island, Page 3

    3

  • Form 623 Application for Renewal of Registration of Corporate Name - Foreign Business Corporation - Rhode Island, Page 1
  • Form 623 Application for Renewal of Registration of Corporate Name - Foreign Business Corporation - Rhode Island, Page 2
  • Form 623 Application for Renewal of Registration of Corporate Name - Foreign Business Corporation - Rhode Island, Page 3
Prev 1 2 3 Next
ADVERTISEMENT

Related Documents