Form 106 Articles of Dissolution by Incorporators for a Domestic Business Corporation - Rhode Island

Notification Icon This version of the form is not currently in use and is provided for reference only. Download this version of Form 106 for the current year.

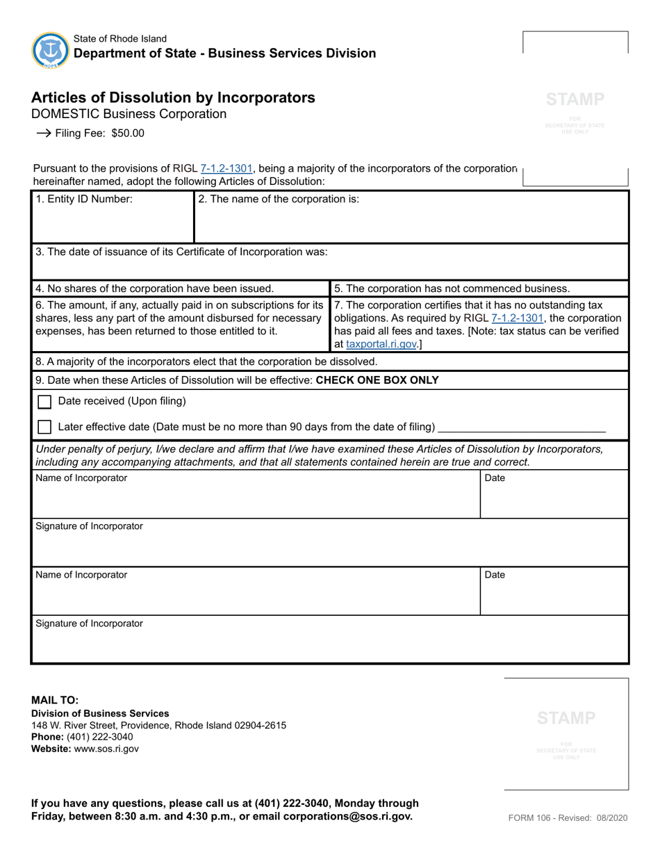
Form 106 Articles of Dissolution by Incorporators for a Domestic Business Corporation - Rhode Island

What Is Form 106?

This is a legal form that was released by the Rhode Island Secretary of State - a government authority operating within Rhode Island. As of today, no separate filing guidelines for the form are provided by the issuing department.

FAQ

Q: What is Form 106?
A: Form 106 is the Articles of Dissolution by Incorporators for a Domestic Business Corporation in Rhode Island.

Q: What is the purpose of Form 106?
A: The purpose of Form 106 is to legally dissolve a domestic business corporation in Rhode Island.

Q: Who can file Form 106?
A: Form 106 can be filed by the incorporators of a domestic business corporation in Rhode Island.

Q: What information is required in Form 106?
A: Form 106 requires information such as the name of the corporation, the reason for dissolution, and the signature of the incorporators.

Q: Is there a fee to file Form 106?
A: Yes, there is a $50 filing fee for Form 106.

Q: What happens after filing Form 106?
A: After filing Form 106, the domestic business corporation will be dissolved and its legal existence will be terminated.

Q: Are there any additional requirements after filing Form 106?
A: Yes, there may be additional requirements such as notifying creditors and distributing remaining assets.

Q: Can I revive a dissolved domestic business corporation?
A: Yes, it may be possible to revive a dissolved domestic business corporation in Rhode Island by filing a Revocation of Dissolution.

ADVERTISEMENT

Form Details:

  • Released on August 1, 2020;
  • The latest edition provided by the Rhode Island Secretary of State;
  • Easy to use and ready to print;
  • Quick to customize;
  • Compatible with most PDF-viewing applications;
  • Fill out the form in our online filing application.

Download a fillable version of Form 106 by clicking the link below or browse more documents and templates provided by the Rhode Island Secretary of State.

Download Form 106 Articles of Dissolution by Incorporators for a Domestic Business Corporation - Rhode Island

4.5 of 5 (24 votes)
  • Form 106 Articles of Dissolution by Incorporators for a Domestic Business Corporation - Rhode Island

    1

  • Form 106 Articles of Dissolution by Incorporators for a Domestic Business Corporation - Rhode Island, Page 2

    2

  • Form 106 Articles of Dissolution by Incorporators for a Domestic Business Corporation - Rhode Island, Page 3

    3

  • Form 106 Articles of Dissolution by Incorporators for a Domestic Business Corporation - Rhode Island, Page 1
  • Form 106 Articles of Dissolution by Incorporators for a Domestic Business Corporation - Rhode Island, Page 2
  • Form 106 Articles of Dissolution by Incorporators for a Domestic Business Corporation - Rhode Island, Page 3
Prev 1 2 3 Next
ADVERTISEMENT