Form 452 Certificate of Cancellation of a Foreign Limited Liability Company - Rhode Island

Notification Icon This version of the form is not currently in use and is provided for reference only. Download this version of Form 452 for the current year.

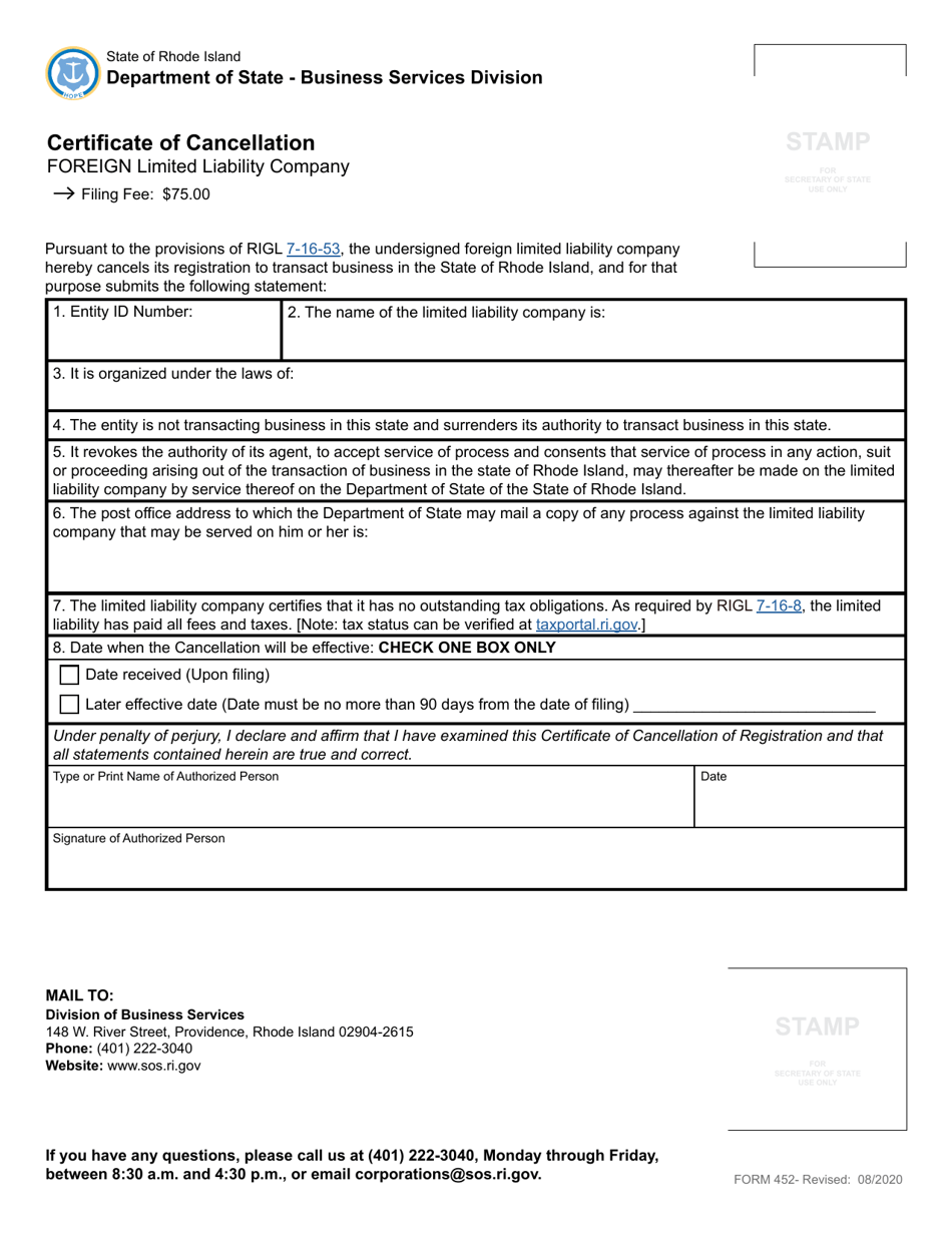
Form 452 Certificate of Cancellation of a Foreign Limited Liability Company - Rhode Island

What Is Form 452?

This is a legal form that was released by the Rhode Island Secretary of State - a government authority operating within Rhode Island. As of today, no separate filing guidelines for the form are provided by the issuing department.

FAQ

Q: What is Form 452?
A: Form 452 is the Certificate of Cancellation of a Foreign Limited Liability Company in Rhode Island.

Q: What is a Foreign Limited Liability Company?
A: A Foreign Limited Liability Company is a company that is registered and formed in a different state or country.

Q: What is the purpose of Form 452?
A: The purpose of Form 452 is to officially cancel the registration of a Foreign Limited Liability Company in Rhode Island.

Q: Who needs to file Form 452?
A: Foreign Limited Liability Companies that are registered in Rhode Island and want to cancel their registration need to file Form 452.

Q: What information is required on Form 452?
A: Form 452 requires information such as the name of the company, its jurisdiction of formation, the date of cancellation, and the signature of an authorized person.

ADVERTISEMENT

Form Details:

  • Released on August 1, 2020;
  • The latest edition provided by the Rhode Island Secretary of State;
  • Easy to use and ready to print;
  • Quick to customize;
  • Compatible with most PDF-viewing applications;
  • Fill out the form in our online filing application.

Download a fillable version of Form 452 by clicking the link below or browse more documents and templates provided by the Rhode Island Secretary of State.

Download Form 452 Certificate of Cancellation of a Foreign Limited Liability Company - Rhode Island

4.7 of 5 (15 votes)
  • Form 452 Certificate of Cancellation of a Foreign Limited Liability Company - Rhode Island

    1

  • Form 452 Certificate of Cancellation of a Foreign Limited Liability Company - Rhode Island, Page 2

    2

  • Form 452 Certificate of Cancellation of a Foreign Limited Liability Company - Rhode Island, Page 3

    3

  • Form 452 Certificate of Cancellation of a Foreign Limited Liability Company - Rhode Island, Page 1
  • Form 452 Certificate of Cancellation of a Foreign Limited Liability Company - Rhode Island, Page 2
  • Form 452 Certificate of Cancellation of a Foreign Limited Liability Company - Rhode Island, Page 3
Prev 1 2 3 Next
ADVERTISEMENT

Related Documents