Form 635_0107 Application for Registration of Mark - Iowa

Notification Icon This version of the form is not currently in use and is provided for reference only. Download this version of Form 635_0107 for the current year.

Form 635_0107 Application for Registration of Mark - Iowa

What Is Form 635_0107?

This is a legal form that was released by the Iowa Secretary of State - a government authority operating within Iowa. As of today, no separate filing guidelines for the form are provided by the issuing department.

FAQ

Q: What is Form 635_0107?
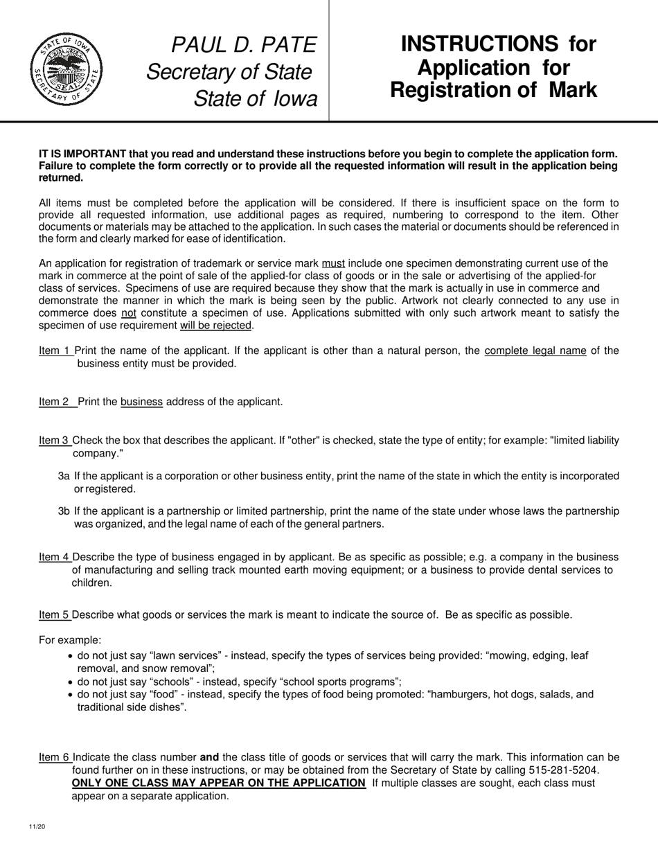
A: Form 635_0107 is the Application for Registration of Mark used in Iowa.

Q: What is the purpose of Form 635_0107?
A: The purpose of Form 635_0107 is to apply for the registration of a mark in Iowa.

Q: Are there any fees associated with filing Form 635_0107?
A: Yes, there are fees associated with filing Form 635_0107. The fees vary depending on the type of mark being registered.

Q: What information is required on Form 635_0107?
A: Form 635_0107 requires information such as the name and address of the applicant, a description of the mark, and evidence of use in commerce.

Q: Are there any additional documents required with Form 635_0107?
A: Yes, additional documents such as specimens of the mark and a drawing of the mark may be required to be submitted with Form 635_0107.

Q: How long does it take to process Form 635_0107?
A: The processing time for Form 635_0107 can vary, but it typically takes several weeks to several months.

Q: What happens after my Form 635_0107 application is approved?
A: After your Form 635_0107 application is approved, your mark will be registered and you will receive a certificate of registration.

Q: What if my Form 635_0107 application is denied?
A: If your Form 635_0107 application is denied, you will have the opportunity to respond to the denial and provide additional information or arguments.

ADVERTISEMENT

Form Details:

  • Released on November 1, 2020;
  • The latest edition provided by the Iowa Secretary of State;
  • Easy to use and ready to print;
  • Quick to customize;
  • Compatible with most PDF-viewing applications;
  • Fill out the form in our online filing application.

Download a fillable version of Form 635_0107 by clicking the link below or browse more documents and templates provided by the Iowa Secretary of State.

Download Form 635_0107 Application for Registration of Mark - Iowa

4.7 of 5 (14 votes)
  • Form 635_0107 Application for Registration of Mark - Iowa

    1

  • Form 635_0107 Application for Registration of Mark - Iowa, Page 2

    2

  • Form 635_0107 Application for Registration of Mark - Iowa, Page 3

    3

  • Form 635_0107 Application for Registration of Mark - Iowa, Page 4

    4

  • Form 635_0107 Application for Registration of Mark - Iowa, Page 5

    5

  • Form 635_0107 Application for Registration of Mark - Iowa, Page 6

    6

  • Form 635_0107 Application for Registration of Mark - Iowa, Page 1
  • Form 635_0107 Application for Registration of Mark - Iowa, Page 2
  • Form 635_0107 Application for Registration of Mark - Iowa, Page 3
  • Form 635_0107 Application for Registration of Mark - Iowa, Page 4
  • Form 635_0107 Application for Registration of Mark - Iowa, Page 5
  • Form 635_0107 Application for Registration of Mark - Iowa, Page 6
Prev 1 2 3 4 5 6 Next
ADVERTISEMENT

Related Documents