Annual LLC Franchise Tax Report - Arkansas

Notification Icon This version of the form is not currently in use and is provided for reference only. Download this version of the document for the current year.

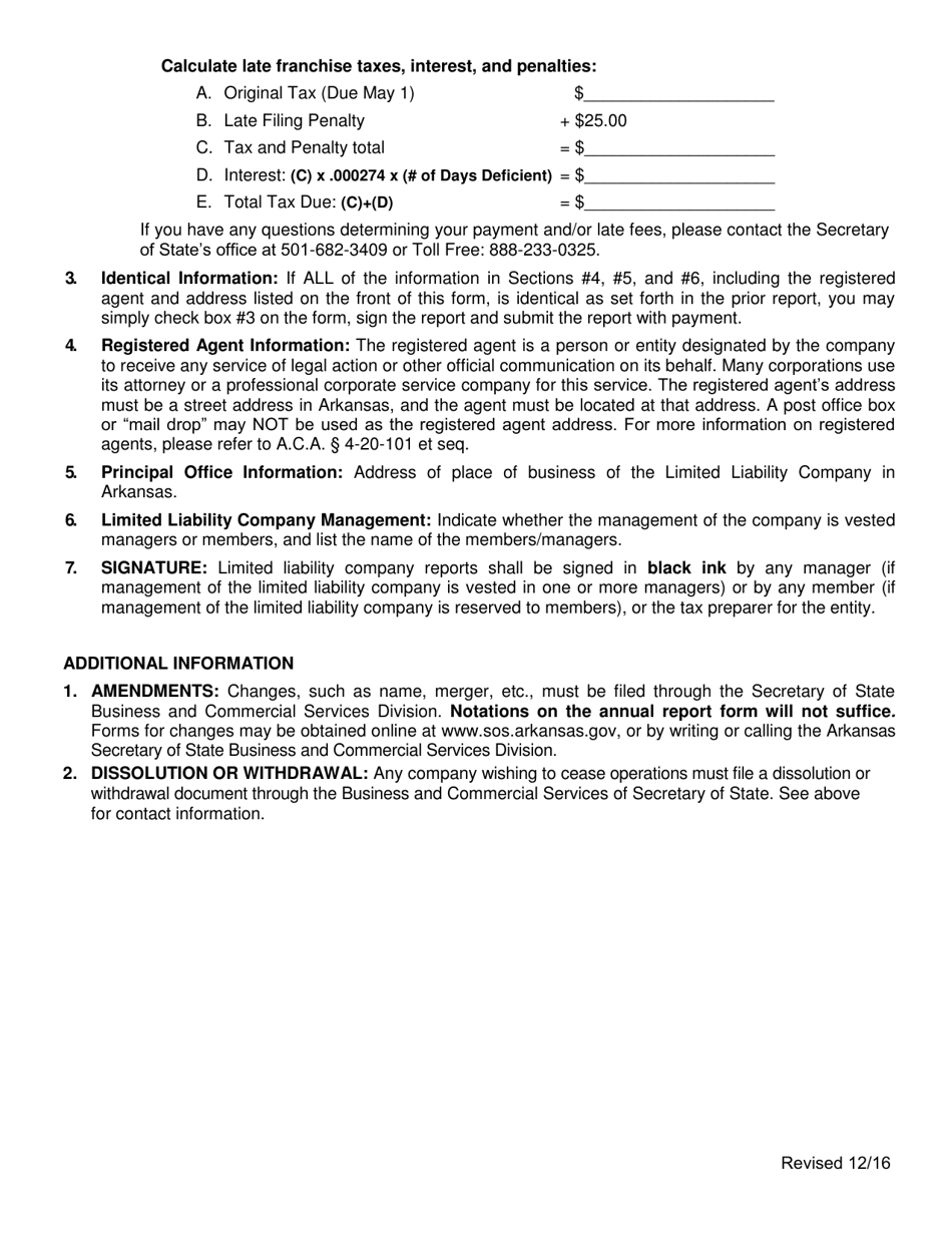
Annual LLC Franchise Tax Report - Arkansas

Annual LLC Franchise Tax Report is a legal document that was released by the Arkansas Secretary of State - a government authority operating within Arkansas.

FAQ

Q: What is the Annual LLC Franchise Tax Report?
A: The Annual LLC Franchise Tax Report is a required form that LLCs in Arkansas must file each year.

Q: Who needs to file the Annual LLC Franchise Tax Report in Arkansas?
A: All LLCs registered in Arkansas, including foreign LLCs, are required to file the Annual LLC Franchise Tax Report.

Q: When is the deadline to file the Annual LLC Franchise Tax Report in Arkansas?
A: The deadline to file the Annual LLC Franchise Tax Report in Arkansas is May 1st of each year.

Q: What is the filing fee for the Annual LLC Franchise Tax Report in Arkansas?
A: The filing fee for the Annual LLC Franchise Tax Report in Arkansas is $150.

Q: What happens if I fail to file the Annual LLC Franchise Tax Report in Arkansas?
A: If you fail to file the Annual LLC Franchise Tax Report in Arkansas, your LLC may be subject to penalties and late fees.

ADVERTISEMENT

Form Details:

  • Released on November 1, 2019;
  • The latest edition currently provided by the Arkansas Secretary of State;
  • Ready to use and print;
  • Easy to customize;
  • Compatible with most PDF-viewing applications;
  • Fill out the form in our online filing application.

Download a fillable version of the form by clicking the link below or browse more documents and templates provided by the Arkansas Secretary of State.

Download Annual LLC Franchise Tax Report - Arkansas

4.7 of 5 (29 votes)
  • Annual LLC Franchise Tax Report - Arkansas

    1

  • Annual LLC Franchise Tax Report - Arkansas, Page 2

    2

  • Annual LLC Franchise Tax Report - Arkansas, Page 3

    3

  • Annual LLC Franchise Tax Report - Arkansas, Page 1
  • Annual LLC Franchise Tax Report - Arkansas, Page 2
  • Annual LLC Franchise Tax Report - Arkansas, Page 3
Prev 1 2 3 Next
ADVERTISEMENT