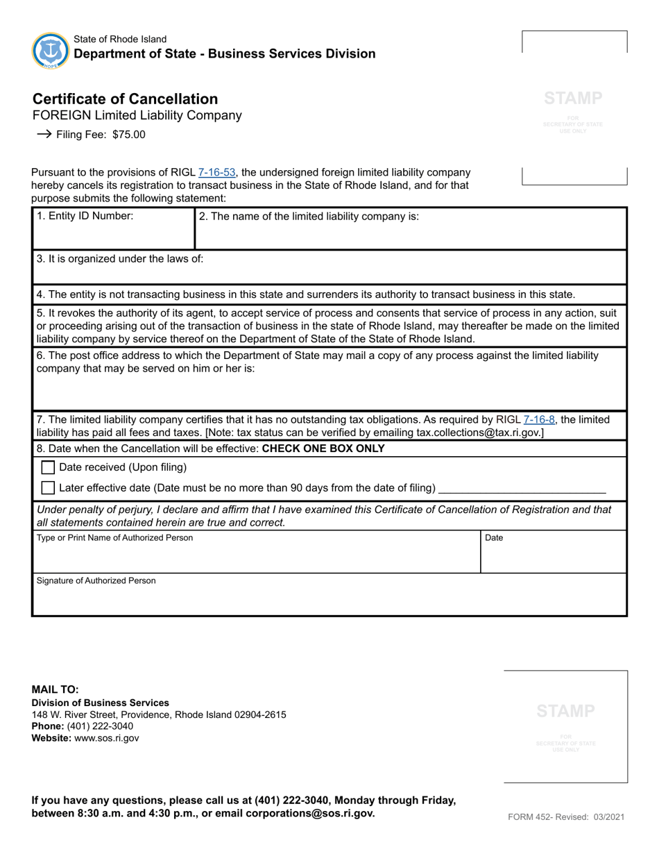
Form 452 Certificate of Cancellation of a Foreign Limited Liability Company - Rhode Island

Notification Icon This version of the form is not currently in use and is provided for reference only. Download this version of Form 452 for the current year.

Form 452 Certificate of Cancellation of a Foreign Limited Liability Company - Rhode Island

What Is Form 452?

This is a legal form that was released by the Rhode Island Secretary of State - a government authority operating within Rhode Island. As of today, no separate filing guidelines for the form are provided by the issuing department.

FAQ

Q: What is Form 452?
A: Form 452 is the Certificate of Cancellation of a Foreign Limited Liability Company in Rhode Island.

Q: When should Form 452 be filed?
A: Form 452 should be filed when a foreign limited liability company wants to cancel its registration in Rhode Island.

Q: What is the purpose of Form 452?
A: The purpose of Form 452 is to notify the Rhode Island Secretary of State that a foreign limited liability company is canceling its registration.

Q: Are there any fees associated with filing Form 452?
A: Yes, there is a fee of $50 to file Form 452.

Q: What information is required on Form 452?
A: Form 452 requires information such as the name of the foreign limited liability company, the state or country of formation, and the effective date of cancellation.

Q: Is there a deadline for filing Form 452?
A: There is no specific deadline for filing Form 452, but it should be filed as soon as the decision to cancel the registration is made.

Q: Is there any additional documentation required with Form 452?
A: No, there is no additional documentation required with Form 452.

Q: What happens after Form 452 is filed?
A: After Form 452 is filed and the fee is paid, the Rhode Island Secretary of State will process the cancellation and update the company's status to 'canceled'.

ADVERTISEMENT

Form Details:

  • Released on March 1, 2021;
  • The latest edition provided by the Rhode Island Secretary of State;
  • Easy to use and ready to print;
  • Quick to customize;
  • Compatible with most PDF-viewing applications;
  • Fill out the form in our online filing application.

Download a fillable version of Form 452 by clicking the link below or browse more documents and templates provided by the Rhode Island Secretary of State.

Download Form 452 Certificate of Cancellation of a Foreign Limited Liability Company - Rhode Island

4.4 of 5 (25 votes)
  • Form 452 Certificate of Cancellation of a Foreign Limited Liability Company - Rhode Island

    1

  • Form 452 Certificate of Cancellation of a Foreign Limited Liability Company - Rhode Island, Page 2

    2

  • Form 452 Certificate of Cancellation of a Foreign Limited Liability Company - Rhode Island, Page 3

    3

  • Form 452 Certificate of Cancellation of a Foreign Limited Liability Company - Rhode Island, Page 1
  • Form 452 Certificate of Cancellation of a Foreign Limited Liability Company - Rhode Island, Page 2
  • Form 452 Certificate of Cancellation of a Foreign Limited Liability Company - Rhode Island, Page 3
Prev 1 2 3 Next
ADVERTISEMENT

Related Documents