DCM Form B-3 Checklist - Preparation of Agreement Between Owner and Architect Submitted on Paper - Alabama

Notification Icon This version of the form is not currently in use and is provided for reference only. Download this version of DCM Form B-3 for the current year.

DCM Form B-3 Checklist - Preparation of Agreement Between Owner and Architect Submitted on Paper - Alabama

What Is DCM Form B-3?

This is a legal form that was released by the Alabama Department of Finance, Real Property Management - Division of Construction Management - a government authority operating within Alabama. As of today, no separate filing guidelines for the form are provided by the issuing department.

FAQ

Q: What is DCM Form B-3?
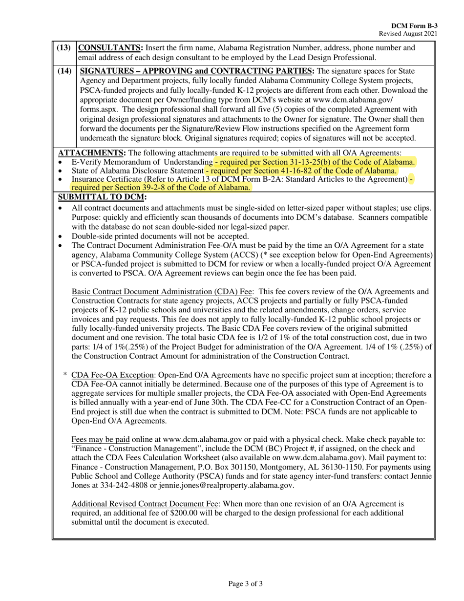
A: DCM Form B-3 is a checklist used for the preparation of Agreement between Owner and Architect.

Q: What does it include?
A: The checklist includes various items that need to be considered when preparing the agreement.

Q: What is the purpose of the agreement between Owner and Architect?
A: The agreement outlines the terms and conditions of the architectural services to be provided for a specific project.

Q: What is the submission method for DCM Form B-3?
A: DCM Form B-3 is submitted on paper.

Q: Which state is this checklist applicable to?
A: This checklist is applicable to Alabama.

ADVERTISEMENT

Form Details:

  • Released on August 1, 2021;
  • The latest edition provided by the Alabama Department of Finance, Real Property Management - Division of Construction Management;
  • Easy to use and ready to print;
  • Quick to customize;
  • Compatible with most PDF-viewing applications;
  • Fill out the form in our online filing application.

Download a fillable version of DCM Form B-3 by clicking the link below or browse more documents and templates provided by the Alabama Department of Finance, Real Property Management - Division of Construction Management.

Download DCM Form B-3 Checklist - Preparation of Agreement Between Owner and Architect Submitted on Paper - Alabama

4.3 of 5 (22 votes)
  • DCM Form B-3 Checklist - Preparation of Agreement Between Owner and Architect Submitted on Paper - Alabama

    1

  • DCM Form B-3 Checklist - Preparation of Agreement Between Owner and Architect Submitted on Paper - Alabama, Page 2

    2

  • DCM Form B-3 Checklist - Preparation of Agreement Between Owner and Architect Submitted on Paper - Alabama, Page 3

    3

  • DCM Form B-3 Checklist - Preparation of Agreement Between Owner and Architect Submitted on Paper - Alabama, Page 1
  • DCM Form B-3 Checklist - Preparation of Agreement Between Owner and Architect Submitted on Paper - Alabama, Page 2
  • DCM Form B-3 Checklist - Preparation of Agreement Between Owner and Architect Submitted on Paper - Alabama, Page 3
Prev 1 2 3 Next
ADVERTISEMENT