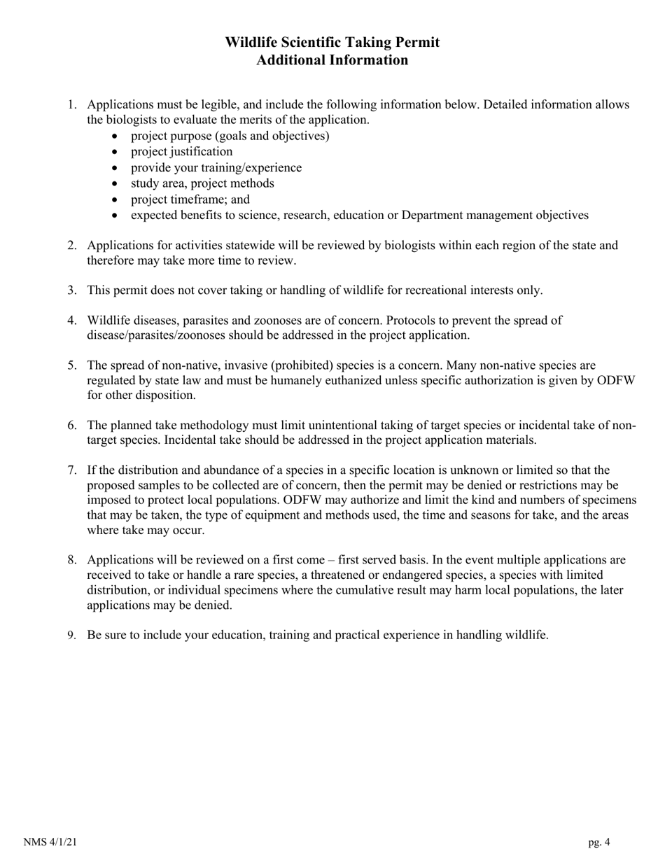
Wildlife Scientific Taking Permit Application - Birds, Mammals, Amphibians and Reptiles - Oregon

Notification Icon This version of the form is not currently in use and is provided for reference only. Download this version of the document for the current year.

Wildlife Scientific Taking Permit Application - Birds, Mammals, Amphibians and Reptiles - Oregon

Wildlife Scientific Taking Permit Application - Birds, Mammals, Amphibians and Reptiles is a legal document that was released by the Oregon Department of Fish and Wildlife - a government authority operating within Oregon.

FAQ

Q: What is a wildlife scientific taking permit?
A: A wildlife scientific taking permit is a permit issued by the state of Oregon that allows individuals to capture or collect birds, mammals, amphibians, and reptiles for scientific research purposes.

Q: Who needs a wildlife scientific taking permit?
A: Anyone who wishes to capture or collect birds, mammals, amphibians, and reptiles for scientific research purposes in Oregon needs a wildlife scientific taking permit.

Q: What is the purpose of a wildlife scientific taking permit?
A: The purpose of a wildlife scientific taking permit is to regulate and monitor the collection of birds, mammals, amphibians, and reptiles for scientific research purposes to ensure the sustainable use and conservation of these species.

Q: How can I apply for a wildlife scientific taking permit?
A: To apply for a wildlife scientific taking permit in Oregon, you must fill out an application form, provide supporting documents and pay the required fees.

Q: Are there any restrictions or regulations associated with a wildlife scientific taking permit?
A: Yes, there are several restrictions and regulations associated with a wildlife scientific taking permit, including limitations on the number of individuals that can be collected, specific collection methods, and reporting requirements.

Q: How long is a wildlife scientific taking permit valid for?
A: A wildlife scientific taking permit is typically valid for one year from the date of issuance.

Q: Are there any exemptions to the requirement of a wildlife scientific taking permit?
A: Yes, certain individuals or activities may be exempt from the requirement of a wildlife scientific taking permit. It is best to consult the Oregon Department of Fish and Wildlife for specific details.

Q: What happens if I conduct scientific research without a wildlife scientific taking permit?
A: Conducting scientific research without a wildlife scientific taking permit is illegal in Oregon and can result in penalties and fines.

ADVERTISEMENT

Form Details:

  • Released on April 1, 2021;
  • The latest edition currently provided by the Oregon Department of Fish and Wildlife;
  • Ready to use and print;
  • Easy to customize;
  • Compatible with most PDF-viewing applications;
  • Fill out the form in our online filing application.

Download a printable version of the form by clicking the link below or browse more documents and templates provided by the Oregon Department of Fish and Wildlife.

Download Wildlife Scientific Taking Permit Application - Birds, Mammals, Amphibians and Reptiles - Oregon

4.5 of 5 (26 votes)
  • Wildlife Scientific Taking Permit Application - Birds, Mammals, Amphibians and Reptiles - Oregon

    1

  • Wildlife Scientific Taking Permit Application - Birds, Mammals, Amphibians and Reptiles - Oregon, Page 2

    2

  • Wildlife Scientific Taking Permit Application - Birds, Mammals, Amphibians and Reptiles - Oregon, Page 3

    3

  • Wildlife Scientific Taking Permit Application - Birds, Mammals, Amphibians and Reptiles - Oregon, Page 4

    4

  • Wildlife Scientific Taking Permit Application - Birds, Mammals, Amphibians and Reptiles - Oregon, Page 1
  • Wildlife Scientific Taking Permit Application - Birds, Mammals, Amphibians and Reptiles - Oregon, Page 2
  • Wildlife Scientific Taking Permit Application - Birds, Mammals, Amphibians and Reptiles - Oregon, Page 3
  • Wildlife Scientific Taking Permit Application - Birds, Mammals, Amphibians and Reptiles - Oregon, Page 4
Prev 1 2 3 4 Next
ADVERTISEMENT

Related Documents