DOT Form 224-062 Utility Construction Agreement Work by Wsdot - Utility Cost - Washington

Notification Icon This version of the form is not currently in use and is provided for reference only. Download this version of DOT Form 224-062 for the current year.

DOT Form 224-062 Utility Construction Agreement Work by Wsdot - Utility Cost - Washington

What Is DOT Form 224-062?

This is a legal form that was released by the Washington State Department of Transportation - a government authority operating within Washington. As of today, no separate filing guidelines for the form are provided by the issuing department.

FAQ

Q: What is DOT Form 224-062?
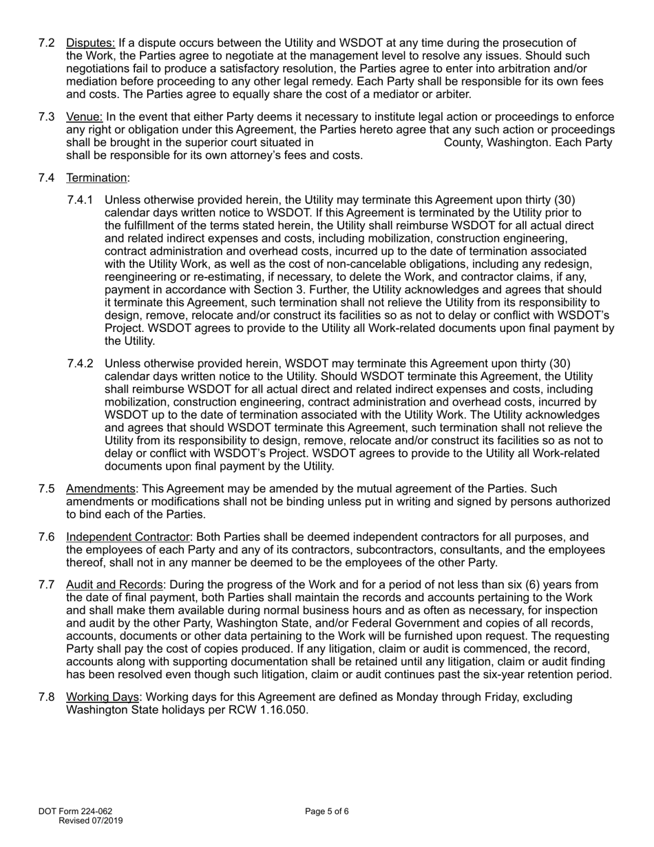
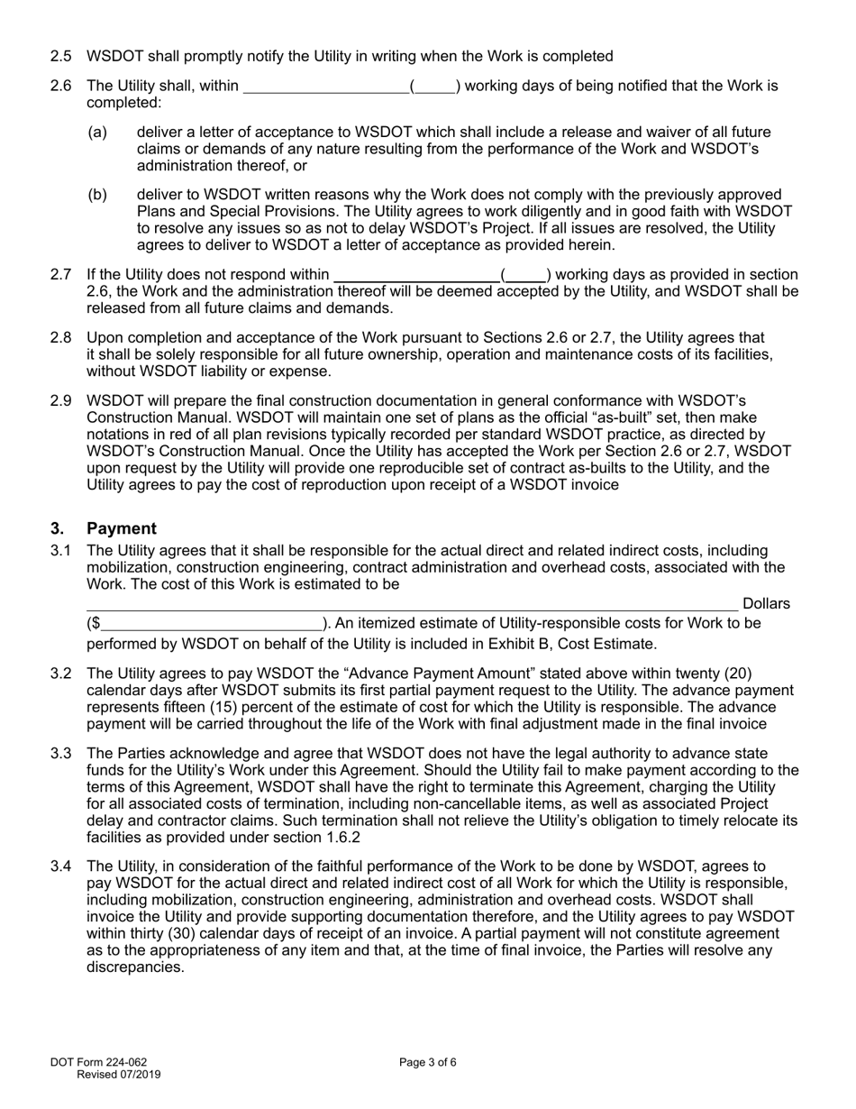
A: DOT Form 224-062 is a Utility Construction Agreement used by WSDOT (Washington State Department of Transportation) for utility work.

Q: What does the Utility Construction Agreement authorize?
A: The Utility Construction Agreement authorizes utility companies to perform work on WSDOT's projects.

Q: What is Utility Cost?
A: Utility Cost refers to the expenses associated with the relocation or adjustment of existing utilities due to a construction project.

Q: Who is responsible for the Utility Cost?
A: The utility company is typically responsible for the Utility Cost.

Q: Which state is this document applicable to?
A: This document is applicable to the state of Washington.

ADVERTISEMENT

Form Details:

  • Released on July 1, 2019;
  • The latest edition provided by the Washington State Department of Transportation;
  • Easy to use and ready to print;
  • Quick to customize;
  • Compatible with most PDF-viewing applications;
  • Fill out the form in our online filing application.

Download a fillable version of DOT Form 224-062 by clicking the link below or browse more documents and templates provided by the Washington State Department of Transportation.

Download DOT Form 224-062 Utility Construction Agreement Work by Wsdot - Utility Cost - Washington

4.4 of 5 (14 votes)
  • DOT Form 224-062 Utility Construction Agreement Work by Wsdot - Utility Cost - Washington

    1

  • DOT Form 224-062 Utility Construction Agreement Work by Wsdot - Utility Cost - Washington, Page 2

    2

  • DOT Form 224-062 Utility Construction Agreement Work by Wsdot - Utility Cost - Washington, Page 3

    3

  • DOT Form 224-062 Utility Construction Agreement Work by Wsdot - Utility Cost - Washington, Page 4

    4

  • DOT Form 224-062 Utility Construction Agreement Work by Wsdot - Utility Cost - Washington, Page 5

    5

  • DOT Form 224-062 Utility Construction Agreement Work by Wsdot - Utility Cost - Washington, Page 6

    6

  • DOT Form 224-062 Utility Construction Agreement Work by Wsdot - Utility Cost - Washington, Page 1
  • DOT Form 224-062 Utility Construction Agreement Work by Wsdot - Utility Cost - Washington, Page 2
  • DOT Form 224-062 Utility Construction Agreement Work by Wsdot - Utility Cost - Washington, Page 3
  • DOT Form 224-062 Utility Construction Agreement Work by Wsdot - Utility Cost - Washington, Page 4
  • DOT Form 224-062 Utility Construction Agreement Work by Wsdot - Utility Cost - Washington, Page 5
  • DOT Form 224-062 Utility Construction Agreement Work by Wsdot - Utility Cost - Washington, Page 6
Prev 1 2 3 4 5 6 Next
ADVERTISEMENT

Related Documents