DOT Form 224-053 Utility Construction Agreement Work by Utility - Wsdot Cost - Washington

Notification Icon This version of the form is not currently in use and is provided for reference only. Download this version of DOT Form 224-053 for the current year.

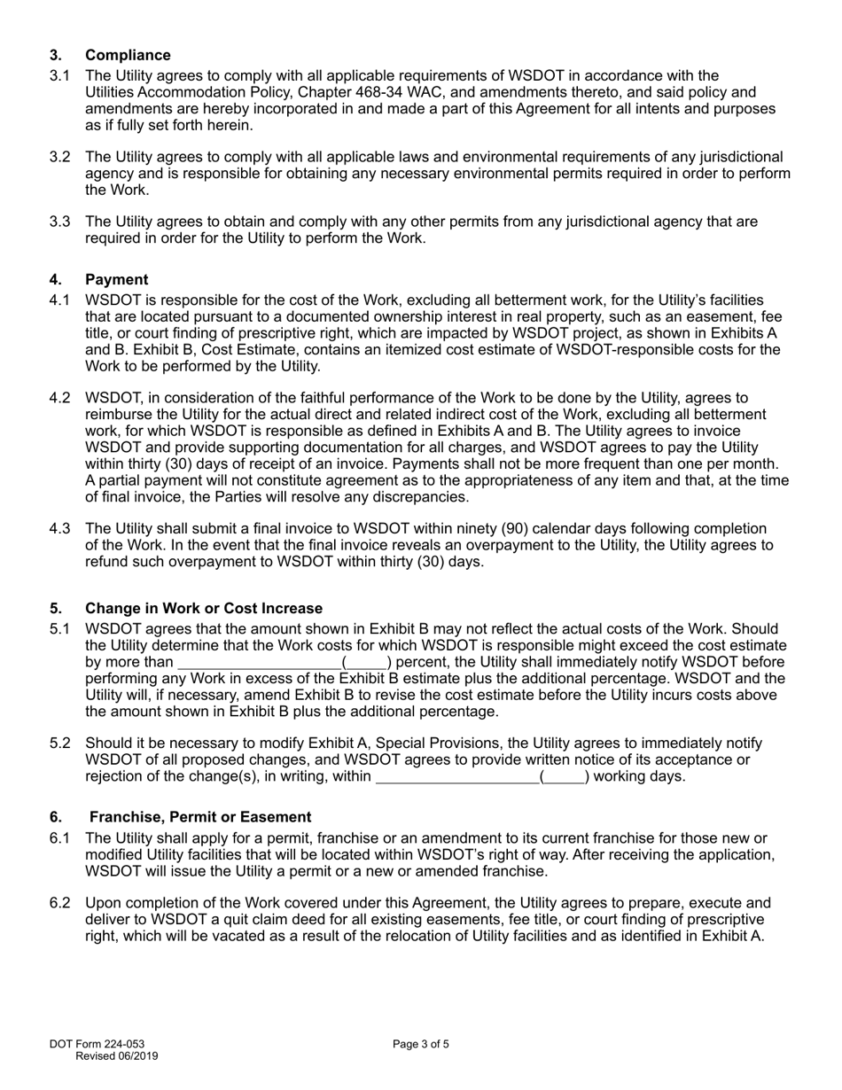
DOT Form 224-053 Utility Construction Agreement Work by Utility - Wsdot Cost - Washington

What Is DOT Form 224-053?

This is a legal form that was released by the Washington State Department of Transportation - a government authority operating within Washington. As of today, no separate filing guidelines for the form are provided by the issuing department.

FAQ

Q: What is DOT Form 224-053?
A: DOT Form 224-053 is a Utility Construction Agreement for work performed by a utility.

Q: What does Wsdot Cost mean?
A: Wsdot Cost refers to the cost of the project as determined by the Washington State Department of Transportation (WSDOT).

Q: What does Utility Construction Agreement cover?
A: The Utility Construction Agreement covers the work performed by a utility for a specific project.

Q: Who is responsible for the cost of the work?
A: The utility is responsible for the cost of the work outlined in the agreement.

Q: What is the purpose of DOT Form 224-053?
A: The purpose of DOT Form 224-053 is to formalize the agreement between a utility and the Washington State Department of Transportation for construction work.

ADVERTISEMENT

Form Details:

  • Released on June 1, 2019;
  • The latest edition provided by the Washington State Department of Transportation;
  • Easy to use and ready to print;
  • Quick to customize;
  • Compatible with most PDF-viewing applications;
  • Fill out the form in our online filing application.

Download a fillable version of DOT Form 224-053 by clicking the link below or browse more documents and templates provided by the Washington State Department of Transportation.

Download DOT Form 224-053 Utility Construction Agreement Work by Utility - Wsdot Cost - Washington

4.4 of 5 (12 votes)
  • DOT Form 224-053 Utility Construction Agreement Work by Utility - Wsdot Cost - Washington

    1

  • DOT Form 224-053 Utility Construction Agreement Work by Utility - Wsdot Cost - Washington, Page 2

    2

  • DOT Form 224-053 Utility Construction Agreement Work by Utility - Wsdot Cost - Washington, Page 3

    3

  • DOT Form 224-053 Utility Construction Agreement Work by Utility - Wsdot Cost - Washington, Page 4

    4

  • DOT Form 224-053 Utility Construction Agreement Work by Utility - Wsdot Cost - Washington, Page 5

    5

  • DOT Form 224-053 Utility Construction Agreement Work by Utility - Wsdot Cost - Washington, Page 1
  • DOT Form 224-053 Utility Construction Agreement Work by Utility - Wsdot Cost - Washington, Page 2
  • DOT Form 224-053 Utility Construction Agreement Work by Utility - Wsdot Cost - Washington, Page 3
  • DOT Form 224-053 Utility Construction Agreement Work by Utility - Wsdot Cost - Washington, Page 4
  • DOT Form 224-053 Utility Construction Agreement Work by Utility - Wsdot Cost - Washington, Page 5
Prev 1 2 3 4 5 Next
ADVERTISEMENT

Related Documents