Precise Grading Plan Checklist - City of Rancho Mirage, California

Precise Grading Plan Checklist - City of Rancho Mirage, California

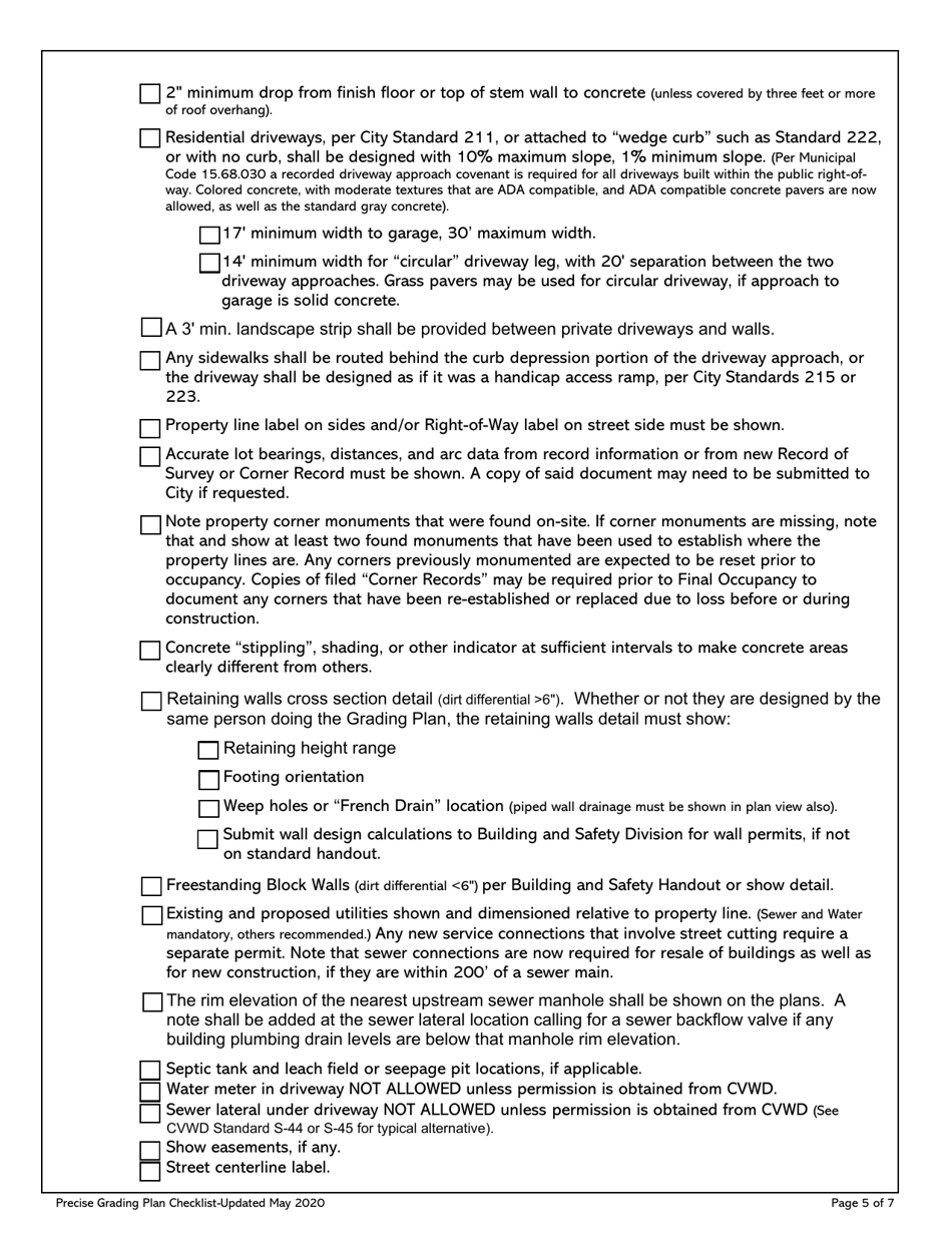
Precise Grading Plan Checklist is a legal document that was released by the Public Works Department - City of Rancho Mirage, California - a government authority operating within California. The form may be used strictly within City of Rancho Mirage.

FAQ

Q: What is the Precise Grading Plan Checklist?
A: The Precise Grading Plan Checklist is a document that provides guidelines and requirements for grading plans in the City of Rancho Mirage, California.

Q: What is a grading plan?
A: A grading plan is a document that outlines the process and details for modifying the existing topography of a site, typically for construction or development purposes.

Q: Why is a grading plan required?
A: A grading plan is required to ensure that the modification of the site's topography is done in a safe and controlled manner, following the city's regulations and guidelines.

Q: What does the Precise Grading Plan Checklist include?
A: The Precise Grading Plan Checklist includes a list of requirements and guidelines related to erosion control, drainage, slope stability, landscaping, and other factors that need to be considered in a grading plan.

Q: Who needs to submit a grading plan?
A: Anyone who is planning to modify the topography of a site in the City of Rancho Mirage, whether it's for residential, commercial, or industrial purposes, needs to submit a grading plan for approval.

Q: Are there any fees associated with the grading plan submission?
A: Yes, there are fees associated with the grading plan submission. The exact fees depend on the size and complexity of the project, and they can be found in the city's fee schedule.

Q: What happens after the grading plan is submitted?
A: After the grading plan is submitted, it will be reviewed by the city's Planning Department to ensure that it meets all the requirements and guidelines. If any changes or revisions are needed, the applicant will be notified.

Q: Can I start grading before receiving approval for the plan?
A: No, grading should not begin until the grading plan has been approved by the city's Planning Department. Starting grading without approval can result in penalties and fines.

Q: How long does it take to get the grading plan approved?
A: The time it takes to get a grading plan approved can vary depending on the complexity of the project and the workload of the Planning Department. It is advisable to submit the plan well in advance of the desired start date for grading.

ADVERTISEMENT

Form Details:

  • Released on October 1, 2021;
  • The latest edition currently provided by the Public Works Department - City of Rancho Mirage, California;
  • Ready to use and print;
  • Easy to customize;
  • Compatible with most PDF-viewing applications;
  • Fill out the form in our online filing application.

Download a fillable version of the form by clicking the link below or browse more documents and templates provided by the Public Works Department - City of Rancho Mirage, California.

Download Precise Grading Plan Checklist - City of Rancho Mirage, California

4.7 of 5 (28 votes)
  • Precise Grading Plan Checklist - City of Rancho Mirage, California

    1

  • Precise Grading Plan Checklist - City of Rancho Mirage, California, Page 2

    2

  • Precise Grading Plan Checklist - City of Rancho Mirage, California, Page 3

    3

  • Precise Grading Plan Checklist - City of Rancho Mirage, California, Page 4

    4

  • Precise Grading Plan Checklist - City of Rancho Mirage, California, Page 5

    5

  • Precise Grading Plan Checklist - City of Rancho Mirage, California, Page 6

    6

  • Precise Grading Plan Checklist - City of Rancho Mirage, California, Page 7

    7

  • Precise Grading Plan Checklist - City of Rancho Mirage, California, Page 1
  • Precise Grading Plan Checklist - City of Rancho Mirage, California, Page 2
  • Precise Grading Plan Checklist - City of Rancho Mirage, California, Page 3
  • Precise Grading Plan Checklist - City of Rancho Mirage, California, Page 4
  • Precise Grading Plan Checklist - City of Rancho Mirage, California, Page 5
  • Precise Grading Plan Checklist - City of Rancho Mirage, California, Page 6
  • Precise Grading Plan Checklist - City of Rancho Mirage, California, Page 7
Prev 1 2 3 4 5 ... 7 Next
ADVERTISEMENT