Commercial Kitchen Suppression System Submittal Requirements - DeKalb County, Georgia (United States)

Commercial Kitchen Suppression System Submittal Requirements - DeKalb County, Georgia (United States)

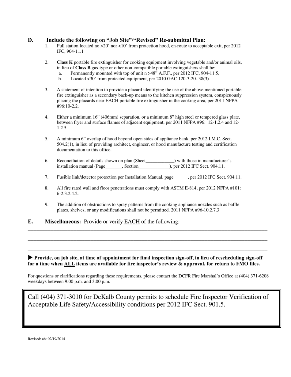
Commercial Kitchen Suppression System Submittal Requirements is a legal document that was released by the Fire Rescue Department - DeKalb County, Georgia - a government authority operating within Georgia (United States). The form may be used strictly within DeKalb County.

FAQ

Q: What are the submittal requirements for a commercial kitchen suppression system in DeKalb County, Georgia?
A: The submittal requirements for a commercial kitchen suppression system in DeKalb County, Georgia include: submitting a completed application, providing detailed plans and specifications, ensuring compliance with NFPA standards, obtaining a permit, and scheduling inspections.

Q: What should be included in the application for a commercial kitchen suppression system?
A: The application for a commercial kitchen suppression system should include basic information about the project, such as the applicant's name, contact information, and the location of the establishment.

Q: What are the requirements for the detailed plans and specifications?
A: The detailed plans and specifications should include information about the type of suppression system being installed, the size and layout of the kitchen, the location of appliances and hoods, and any other relevant details.

Q: What are NFPA standards?
A: NFPA stands for National Fire Protection Association. They set standards for fire protection and prevention, including regulations for commercial kitchen suppression systems.

Q: How do I obtain a permit for a commercial kitchen suppression system?
A: To obtain a permit for a commercial kitchen suppression system, you must submit the completed application, plans and specifications, and pay the required fees. Once the application is approved, a permit will be issued.

Q: What inspections are required for a commercial kitchen suppression system?
A: Inspections may include a rough-in inspection, a final inspection, and periodic inspections to ensure ongoing compliance with fire safety regulations.

ADVERTISEMENT

Form Details:

  • Released on February 19, 2014;
  • The latest edition currently provided by the Fire Rescue Department - DeKalb County, Georgia;
  • Ready to use and print;
  • Easy to customize;
  • Compatible with most PDF-viewing applications;
  • Fill out the form in our online filing application.

Download a printable version of the form by clicking the link below or browse more documents and templates provided by the Fire Rescue Department - DeKalb County, Georgia.

Download Commercial Kitchen Suppression System Submittal Requirements - DeKalb County, Georgia (United States)

4.8 of 5 (13 votes)
  • Commercial Kitchen Suppression System Submittal Requirements - DeKalb County, Georgia (United States)

    1

  • Commercial Kitchen Suppression System Submittal Requirements - DeKalb County, Georgia (United States), Page 2

    2

  • Commercial Kitchen Suppression System Submittal Requirements - DeKalb County, Georgia (United States), Page 1
  • Commercial Kitchen Suppression System Submittal Requirements - DeKalb County, Georgia (United States), Page 2
Prev 1 2 Next
ADVERTISEMENT