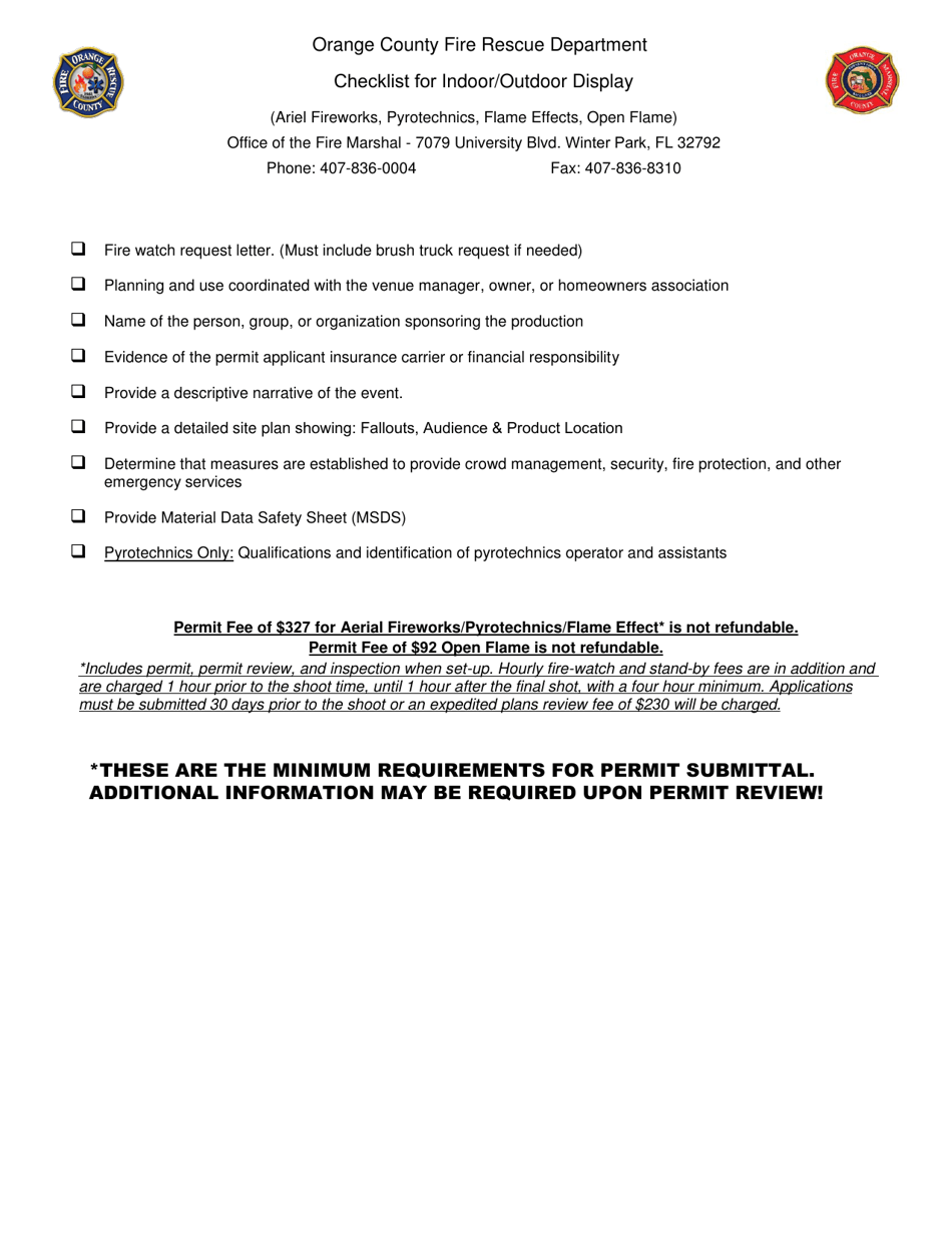
Permit Application for Indoor / Outdoor Display - Orange County, Florida

Notification Icon This version of the form is not currently in use and is provided for reference only. Download this version of the document for the current year.

Permit Application for Indoor / Outdoor Display - Orange County, Florida

Permit Application for Indoor/Outdoor Display is a legal document that was released by the Fire Rescue Department - Orange County, Florida - a government authority operating within Florida. The form may be used strictly within Orange County.

FAQ

Q: What is the permit application for?
A: The permit application is for indoor/outdoor display in Orange County, Florida.

Q: Who needs to submit a permit application?
A: Anyone who wants to display something indoors or outdoors in Orange County, Florida needs to submit a permit application.

Q: What types of displays require a permit?
A: Any displays, whether they are indoors or outdoors, require a permit in Orange County, Florida.

Q: How can I obtain a permit application?
A: You can obtain a permit application for indoor/outdoor display in Orange County, Florida by contacting the appropriate county office.

Q: What information is required in the permit application?
A: The permit application will require information such as the location of the display, the duration of the display, and contact information for the person responsible for the display.

Q: Is there a fee for the permit application?
A: Yes, there is a fee for the permit application for indoor/outdoor display in Orange County, Florida.

Q: How long does it take to process the permit application?
A: The processing time for the permit application for indoor/outdoor display in Orange County, Florida may vary, so it is recommended to submit the application well in advance of the desired display date.

ADVERTISEMENT

Form Details:

  • Released on October 1, 2021;
  • The latest edition currently provided by the Fire Rescue Department - Orange County, Florida;
  • Ready to use and print;
  • Easy to customize;
  • Compatible with most PDF-viewing applications;
  • Fill out the form in our online filing application.

Download a fillable version of the form by clicking the link below or browse more documents and templates provided by the Fire Rescue Department - Orange County, Florida.

Download Permit Application for Indoor / Outdoor Display - Orange County, Florida

4.4 of 5 (17 votes)
  • Permit Application for Indoor/Outdoor Display - Orange County, Florida

    1

  • Permit Application for Indoor/Outdoor Display - Orange County, Florida, Page 2

    2

  • Permit Application for Indoor/Outdoor Display - Orange County, Florida, Page 3

    3

  • Permit Application for Indoor/Outdoor Display - Orange County, Florida, Page 4

    4

  • Permit Application for Indoor/Outdoor Display - Orange County, Florida, Page 5

    5

  • Permit Application for Indoor/Outdoor Display - Orange County, Florida, Page 6

    6

  • Permit Application for Indoor/Outdoor Display - Orange County, Florida, Page 7

    7

  • Permit Application for Indoor/Outdoor Display - Orange County, Florida, Page 8

    8

  • Permit Application for Indoor / Outdoor Display - Orange County, Florida, Page 1
  • Permit Application for Indoor / Outdoor Display - Orange County, Florida, Page 2
  • Permit Application for Indoor / Outdoor Display - Orange County, Florida, Page 3
  • Permit Application for Indoor / Outdoor Display - Orange County, Florida, Page 4
  • Permit Application for Indoor / Outdoor Display - Orange County, Florida, Page 5
  • Permit Application for Indoor / Outdoor Display - Orange County, Florida, Page 6
  • Permit Application for Indoor / Outdoor Display - Orange County, Florida, Page 7
  • Permit Application for Indoor / Outdoor Display - Orange County, Florida, Page 8
Prev 1 2 3 4 5 ... 8 Next
ADVERTISEMENT

Related Documents