Uniform Application Checklist for Certified Reinsurers - Rhode Island

Uniform Application Checklist for Certified Reinsurers - Rhode Island

Uniform Application Checklist for Certified Reinsurers is a legal document that was released by the Rhode Island Department of Business Regulation - a government authority operating within Rhode Island.

FAQ

Q: What is the Uniform Application Checklist for Certified Reinsurers?
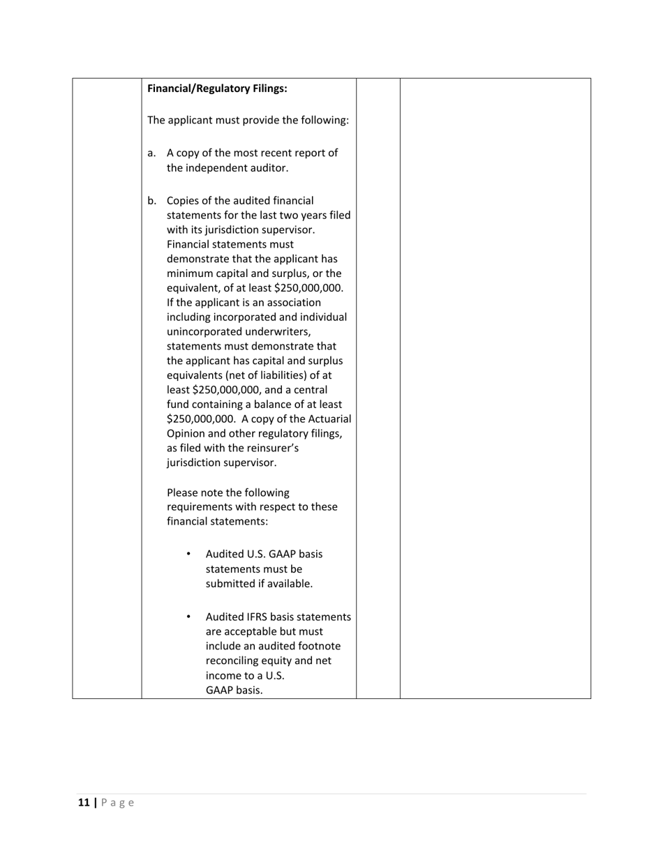
A: The Uniform Application Checklist for Certified Reinsurers is a document used in Rhode Island to determine the eligibility of reinsurers for certification.

Q: Who uses the Uniform Application Checklist for Certified Reinsurers?
A: The Uniform Application Checklist for Certified Reinsurers is used by the Rhode Island Department of Business Regulation.

Q: What is the purpose of the Uniform Application Checklist for Certified Reinsurers?
A: The purpose of the Uniform Application Checklist for Certified Reinsurers is to evaluate reinsurers seeking certification in Rhode Island.

Q: What information is required on the Uniform Application Checklist for Certified Reinsurers?
A: The checklist requires information such as the reinsurer's financial statements, business plan, and details about their reinsurance activities.

ADVERTISEMENT

Form Details:

  • The latest edition currently provided by the Rhode Island Department of Business Regulation;
  • Ready to use and print;
  • Easy to customize;
  • Compatible with most PDF-viewing applications;
  • Fill out the form in our online filing application.

Download a printable version of the form by clicking the link below or browse more documents and templates provided by the Rhode Island Department of Business Regulation.

Download Uniform Application Checklist for Certified Reinsurers - Rhode Island

4.4 of 5 (13 votes)
  • Uniform Application Checklist for Certified Reinsurers - Rhode Island

    1

  • Uniform Application Checklist for Certified Reinsurers - Rhode Island, Page 2

    2

  • Uniform Application Checklist for Certified Reinsurers - Rhode Island, Page 3

    3

  • Uniform Application Checklist for Certified Reinsurers - Rhode Island, Page 4

    4

  • Uniform Application Checklist for Certified Reinsurers - Rhode Island, Page 5

    5

  • Uniform Application Checklist for Certified Reinsurers - Rhode Island, Page 6

    6

  • Uniform Application Checklist for Certified Reinsurers - Rhode Island, Page 7

    7

  • Uniform Application Checklist for Certified Reinsurers - Rhode Island, Page 8

    8

  • Uniform Application Checklist for Certified Reinsurers - Rhode Island, Page 9

    9

  • Uniform Application Checklist for Certified Reinsurers - Rhode Island, Page 10

    10

  • Uniform Application Checklist for Certified Reinsurers - Rhode Island, Page 11

    11

  • Uniform Application Checklist for Certified Reinsurers - Rhode Island, Page 12

    12

  • Uniform Application Checklist for Certified Reinsurers - Rhode Island, Page 13

    13

  • Uniform Application Checklist for Certified Reinsurers - Rhode Island, Page 14

    14

  • Uniform Application Checklist for Certified Reinsurers - Rhode Island, Page 1
  • Uniform Application Checklist for Certified Reinsurers - Rhode Island, Page 2
  • Uniform Application Checklist for Certified Reinsurers - Rhode Island, Page 3
  • Uniform Application Checklist for Certified Reinsurers - Rhode Island, Page 4
  • Uniform Application Checklist for Certified Reinsurers - Rhode Island, Page 5
  • Uniform Application Checklist for Certified Reinsurers - Rhode Island, Page 6
  • Uniform Application Checklist for Certified Reinsurers - Rhode Island, Page 7
  • Uniform Application Checklist for Certified Reinsurers - Rhode Island, Page 8
  • Uniform Application Checklist for Certified Reinsurers - Rhode Island, Page 9
  • Uniform Application Checklist for Certified Reinsurers - Rhode Island, Page 10
  • Uniform Application Checklist for Certified Reinsurers - Rhode Island, Page 11
  • Uniform Application Checklist for Certified Reinsurers - Rhode Island, Page 12
  • Uniform Application Checklist for Certified Reinsurers - Rhode Island, Page 13
  • Uniform Application Checklist for Certified Reinsurers - Rhode Island, Page 14
Prev 1 2 3 4 5 ... 14 Next
ADVERTISEMENT

Related Documents