Wildlife Scientific Taking Permit Application - Birds, Mammals, Amphibians and Reptiles - Oregon

Notification Icon This version of the form is not currently in use and is provided for reference only. Download this version of the document for the current year.

Wildlife Scientific Taking Permit Application - Birds, Mammals, Amphibians and Reptiles - Oregon

Wildlife Scientific Taking Permit Application - Birds, Mammals, Amphibians and Reptiles is a legal document that was released by the Oregon Department of Fish and Wildlife - a government authority operating within Oregon.

FAQ

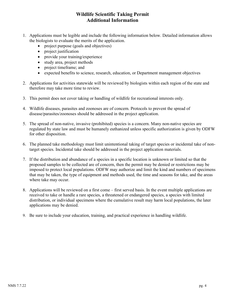
Q: What is a Wildlife Scientific Taking Permit?
A: A Wildlife Scientific Taking Permit is a permit that allows individuals to capture, collect, and study birds, mammals, amphibians, and reptiles in the state of Oregon for scientific research purposes.

Q: Why would someone need a Wildlife Scientific Taking Permit?
A: Someone would need a Wildlife Scientific Taking Permit to legally capture, collect, and study birds, mammals, amphibians, and reptiles in Oregon for scientific research purposes.

Q: How can I apply for a Wildlife Scientific Taking Permit in Oregon?
A: You can apply for a Wildlife Scientific Taking Permit in Oregon by submitting an application to the Oregon Department of Fish and Wildlife.

Q: What are the requirements for obtaining a Wildlife Scientific Taking Permit?
A: The requirements for obtaining a Wildlife Scientific Taking Permit in Oregon may include having a valid research proposal, appropriate training and experience, and complying with all relevant state and federal laws and regulations.

Q: Are there any fees associated with the Wildlife Scientific Taking Permit application?
A: Yes, there may be fees associated with the Wildlife Scientific Taking Permit application in Oregon. The specific fees can vary and it is best to consult the Oregon Department of Fish and Wildlife for the current fee schedule.

ADVERTISEMENT

Form Details:

  • Released on July 7, 2022;
  • The latest edition currently provided by the Oregon Department of Fish and Wildlife;
  • Ready to use and print;
  • Easy to customize;
  • Compatible with most PDF-viewing applications;
  • Fill out the form in our online filing application.

Download a printable version of the form by clicking the link below or browse more documents and templates provided by the Oregon Department of Fish and Wildlife.

Download Wildlife Scientific Taking Permit Application - Birds, Mammals, Amphibians and Reptiles - Oregon

4.5 of 5 (10 votes)
  • Wildlife Scientific Taking Permit Application - Birds, Mammals, Amphibians and Reptiles - Oregon

    1

  • Wildlife Scientific Taking Permit Application - Birds, Mammals, Amphibians and Reptiles - Oregon, Page 2

    2

  • Wildlife Scientific Taking Permit Application - Birds, Mammals, Amphibians and Reptiles - Oregon, Page 3

    3

  • Wildlife Scientific Taking Permit Application - Birds, Mammals, Amphibians and Reptiles - Oregon, Page 4

    4

  • Wildlife Scientific Taking Permit Application - Birds, Mammals, Amphibians and Reptiles - Oregon, Page 1
  • Wildlife Scientific Taking Permit Application - Birds, Mammals, Amphibians and Reptiles - Oregon, Page 2
  • Wildlife Scientific Taking Permit Application - Birds, Mammals, Amphibians and Reptiles - Oregon, Page 3
  • Wildlife Scientific Taking Permit Application - Birds, Mammals, Amphibians and Reptiles - Oregon, Page 4
Prev 1 2 3 4 Next
ADVERTISEMENT

Related Documents