Form DBPR VM14 Application for Veterinarian Temporary License - Florida

Notification Icon This version of the form is not currently in use and is provided for reference only. Download this version of Form DBPR VM14 for the current year.

Form DBPR VM14 Application for Veterinarian Temporary License - Florida

What Is Form DBPR VM14?

This is a legal form that was released by the Florida Department of Business & Professional Regulation - a government authority operating within Florida. As of today, no separate filing guidelines for the form are provided by the issuing department.

FAQ

Q: What is DBPR VM14?
A: DBPR VM14 is the application form for obtaining a temporary veterinary license in Florida.

Q: Who can apply for a temporary veterinary license in Florida?
A: Veterinarians who hold an active license in another state or US territory can apply for a temporary veterinary license in Florida.

Q: What is the purpose of a temporary veterinary license?
A: The purpose of a temporary veterinary license is to allow veterinarians to practice veterinary medicine in Florida on a temporary basis.

Q: What documents are required to be submitted with the DBPR VM14 application?
A: Applicants are required to submit a completed DBPR VM14 application form, an affidavit of eligibility, a copy of their current veterinary license, and the appropriate fee.

Q: How long is a temporary veterinary license valid for?
A: A temporary veterinary license is valid for a maximum of one year.

Q: What is the fee for a temporary veterinary license?
A: The fee for a temporary veterinary license is $100.

Q: Can a temporary veterinary license be renewed?
A: No, a temporary veterinary license cannot be renewed. It is valid for a maximum of one year.

Q: Can a temporary veterinary license be transferred to another state?
A: No, a temporary veterinary license is specific to the state of Florida and cannot be transferred to another state.

Q: Are there any additional requirements for obtaining a temporary veterinary license in Florida?
A: Yes, in addition to submitting the DBPR VM14 application, applicants must also provide proof of malpractice insurance coverage and meet certain education and experience requirements.

ADVERTISEMENT

Form Details:

  • Released on July 1, 2020;
  • The latest edition provided by the Florida Department of Business & Professional Regulation;
  • Easy to use and ready to print;
  • Quick to customize;
  • Compatible with most PDF-viewing applications;
  • Fill out the form in our online filing application.

Download a printable version of Form DBPR VM14 by clicking the link below or browse more documents and templates provided by the Florida Department of Business & Professional Regulation.

Download Form DBPR VM14 Application for Veterinarian Temporary License - Florida

4.7 of 5 (28 votes)
  • Form DBPR VM14 Application for Veterinarian Temporary License - Florida

    1

  • Form DBPR VM14 Application for Veterinarian Temporary License - Florida, Page 2

    2

  • Form DBPR VM14 Application for Veterinarian Temporary License - Florida, Page 3

    3

  • Form DBPR VM14 Application for Veterinarian Temporary License - Florida, Page 4

    4

  • Form DBPR VM14 Application for Veterinarian Temporary License - Florida, Page 5

    5

  • Form DBPR VM14 Application for Veterinarian Temporary License - Florida, Page 6

    6

  • Form DBPR VM14 Application for Veterinarian Temporary License - Florida, Page 7

    7

  • Form DBPR VM14 Application for Veterinarian Temporary License - Florida, Page 8

    8

  • Form DBPR VM14 Application for Veterinarian Temporary License - Florida, Page 9

    9

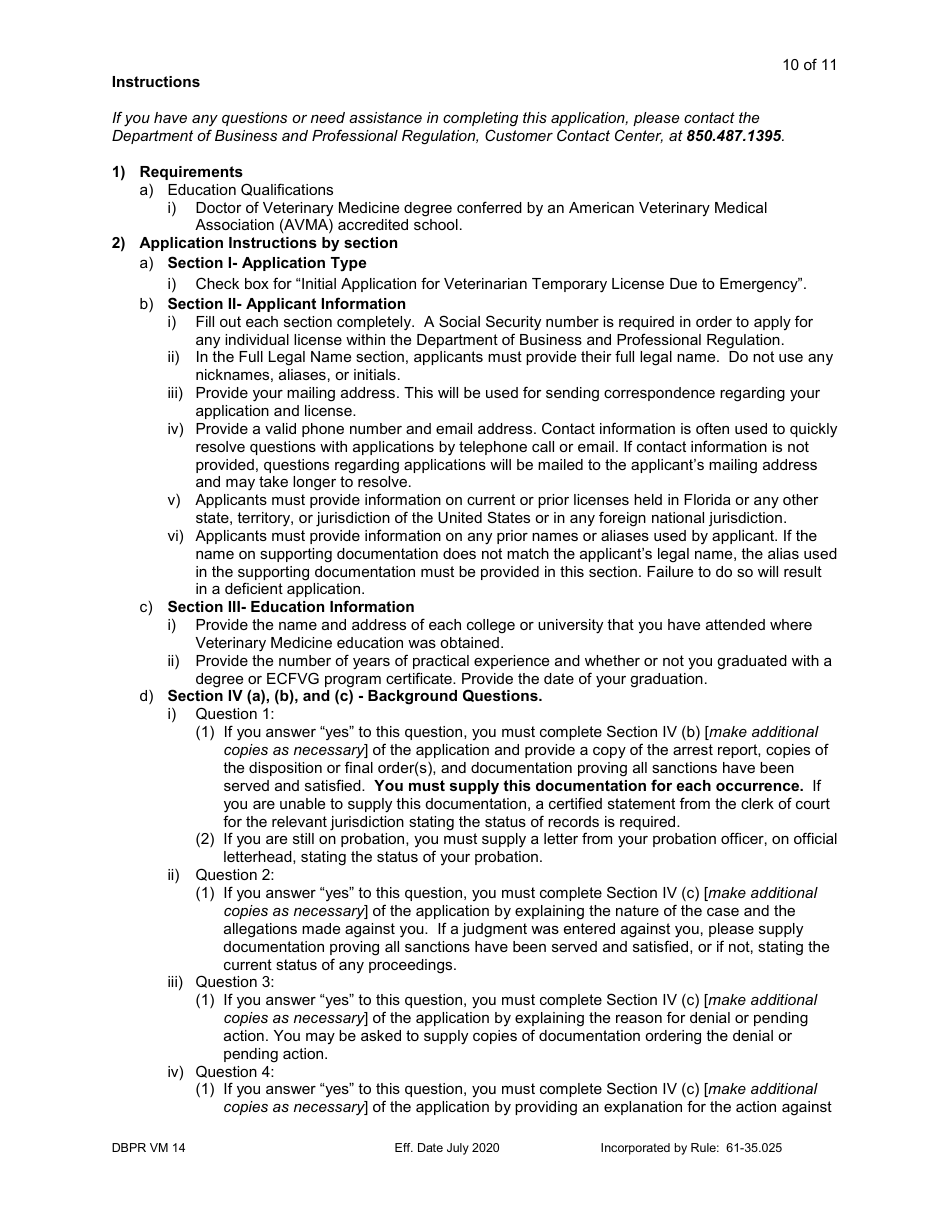
  • Form DBPR VM14 Application for Veterinarian Temporary License - Florida, Page 10

    10

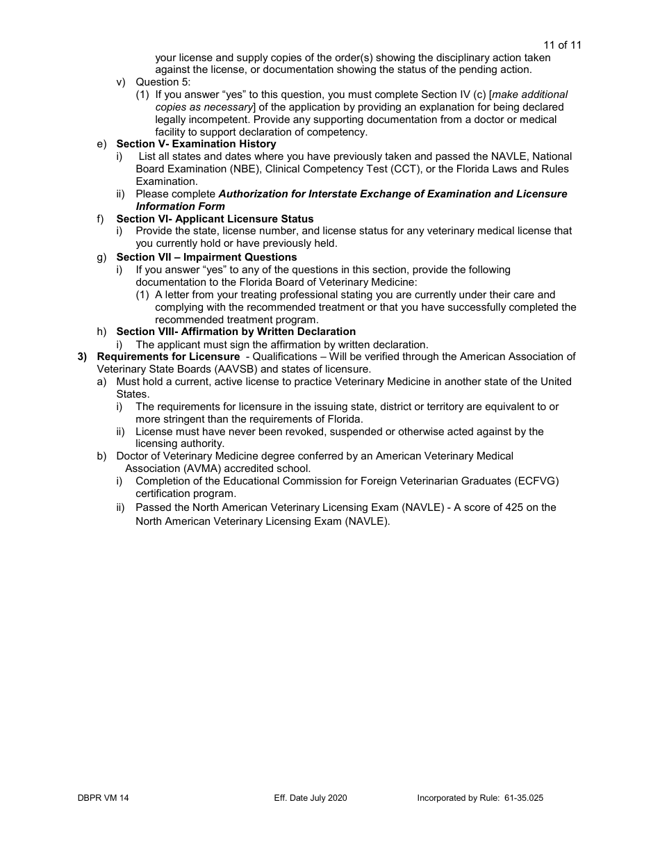
  • Form DBPR VM14 Application for Veterinarian Temporary License - Florida, Page 11

    11

  • Form DBPR VM14 Application for Veterinarian Temporary License - Florida, Page 1
  • Form DBPR VM14 Application for Veterinarian Temporary License - Florida, Page 2
  • Form DBPR VM14 Application for Veterinarian Temporary License - Florida, Page 3
  • Form DBPR VM14 Application for Veterinarian Temporary License - Florida, Page 4
  • Form DBPR VM14 Application for Veterinarian Temporary License - Florida, Page 5
  • Form DBPR VM14 Application for Veterinarian Temporary License - Florida, Page 6
  • Form DBPR VM14 Application for Veterinarian Temporary License - Florida, Page 7
  • Form DBPR VM14 Application for Veterinarian Temporary License - Florida, Page 8
  • Form DBPR VM14 Application for Veterinarian Temporary License - Florida, Page 9
  • Form DBPR VM14 Application for Veterinarian Temporary License - Florida, Page 10
  • Form DBPR VM14 Application for Veterinarian Temporary License - Florida, Page 11
Prev 1 2 3 4 5 ... 11 Next
ADVERTISEMENT

Related Documents