Form 201 Home Based Occupations & Truck / Commercial Parking Vehicle Affidavit - Lee County, Florida

Form 201 Home Based Occupations & Truck / Commercial Parking Vehicle Affidavit - Lee County, Florida

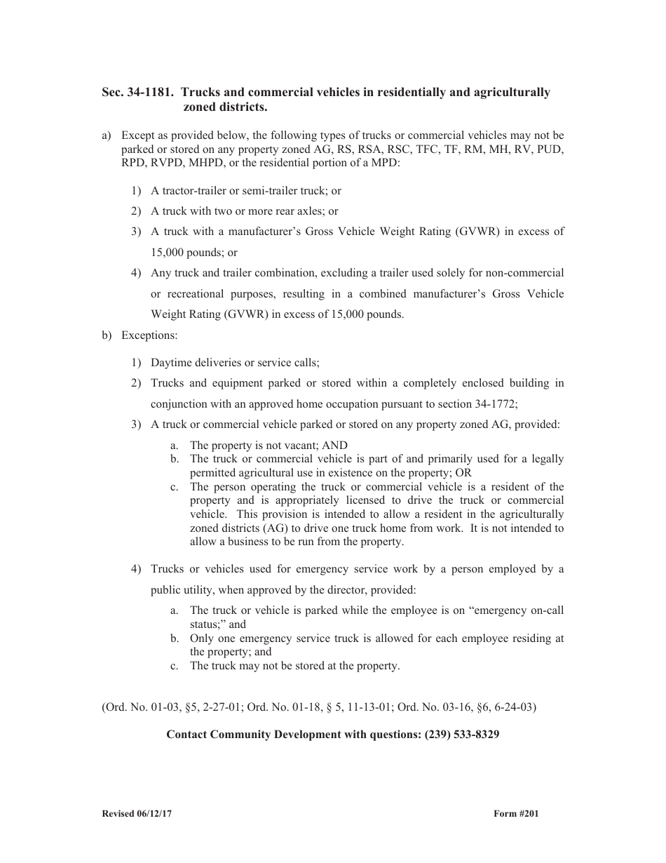
What Is Form 201?

This is a legal form that was released by the Tax Collector's Office - Lee County, Florida - a government authority operating within Florida. The form may be used strictly within Lee County. As of today, no separate filing guidelines for the form are provided by the issuing department.

FAQ

Q: What is Form 201?
A: Form 201 is a document used in Lee County, Florida for Home Based Occupations & Truck/Commercial Parking Vehicle Affidavit.

Q: What is the purpose of Form 201?
A: The purpose of Form 201 is to declare and provide information about home-based occupations and truck/commercial parking vehicles in Lee County, Florida.

Q: Who needs to fill out Form 201?
A: Anyone who operates a home-based occupation or parks a truck/commercial vehicle in Lee County, Florida needs to fill out Form 201.

Q: What information is required in Form 201?
A: Form 201 requires information such as the name and address of the applicant, details about the home-based occupation or commercial vehicle, and the signature of the applicant.

ADVERTISEMENT

Form Details:

  • Released on June 12, 2017;
  • The latest edition provided by the Tax Collector's Office - Lee County, Florida;
  • Easy to use and ready to print;
  • Quick to customize;
  • Compatible with most PDF-viewing applications;
  • Fill out the form in our online filing application.

Download a printable version of Form 201 by clicking the link below or browse more documents and templates provided by the Tax Collector's Office - Lee County, Florida.

Download Form 201 Home Based Occupations & Truck / Commercial Parking Vehicle Affidavit - Lee County, Florida

4.7 of 5 (14 votes)
  • Form 201 Home Based Occupations & Truck/Commercial Parking Vehicle Affidavit - Lee County, Florida

    1

  • Form 201 Home Based Occupations & Truck/Commercial Parking Vehicle Affidavit - Lee County, Florida, Page 2

    2

  • Form 201 Home Based Occupations & Truck/Commercial Parking Vehicle Affidavit - Lee County, Florida, Page 3

    3

  • Form 201 Home Based Occupations  Truck / Commercial Parking Vehicle Affidavit - Lee County, Florida, Page 1
  • Form 201 Home Based Occupations  Truck / Commercial Parking Vehicle Affidavit - Lee County, Florida, Page 2
  • Form 201 Home Based Occupations  Truck / Commercial Parking Vehicle Affidavit - Lee County, Florida, Page 3
Prev 1 2 3 Next
ADVERTISEMENT

Related Documents