Form AFPR Application for Plan Review of a Lp-Gas System - New Jersey

Notification Icon This version of the form is not currently in use and is provided for reference only. Download this version of Form AFPR for the current year.

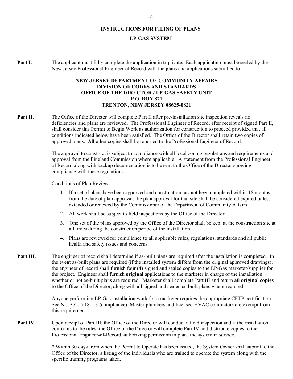
Form AFPR Application for Plan Review of a Lp-Gas System - New Jersey

What Is Form AFPR?

This is a legal form that was released by the New Jersey Department of Community Affairs - Division of Codes and Standards - a government authority operating within New Jersey. As of today, no separate filing guidelines for the form are provided by the issuing department.

FAQ

Q: What is an AFPR?
A: AFPR stands for Application for Plan Review, which is used for submitting plans for approval and review.

Q: What is a Lp-Gas System?
A: An Lp-Gas System refers to a system that handles and stores liquefied petroleum gas, commonly used for heating and cooking purposes.

Q: What is the purpose of submitting an AFPR Application for Plan Review?
A: The purpose of submitting an AFPR Application is to obtain approval and ensure compliance with applicable regulations and safety standards for an Lp-Gas System.

Q: Who needs to submit an AFPR Application for Plan Review?
A: Anyone who plans to install or modify an Lp-Gas System in New Jersey needs to submit an AFPR Application for Plan Review.

ADVERTISEMENT

Form Details:

  • Released on January 1, 2019;
  • The latest edition provided by the New Jersey Department of Community Affairs - Division of Codes and Standards;
  • Easy to use and ready to print;
  • Quick to customize;
  • Compatible with most PDF-viewing applications;
  • Fill out the form in our online filing application.

Download a printable version of Form AFPR by clicking the link below or browse more documents and templates provided by the New Jersey Department of Community Affairs - Division of Codes and Standards.

Download Form AFPR Application for Plan Review of a Lp-Gas System - New Jersey

4.8 of 5 (15 votes)
  • Form AFPR Application for Plan Review of a Lp-Gas System - New Jersey

    1

  • Form AFPR Application for Plan Review of a Lp-Gas System - New Jersey, Page 2

    2

  • Form AFPR Application for Plan Review of a Lp-Gas System - New Jersey, Page 1
  • Form AFPR Application for Plan Review of a Lp-Gas System - New Jersey, Page 2
Prev 1 2 Next
ADVERTISEMENT