Form EQP5969 Water Supply Cross Connection Report for Systems Serving Only Residential Accounts - Michigan

Notification Icon This version of the form is not currently in use and is provided for reference only. Download this version of Form EQP5969 for the current year.

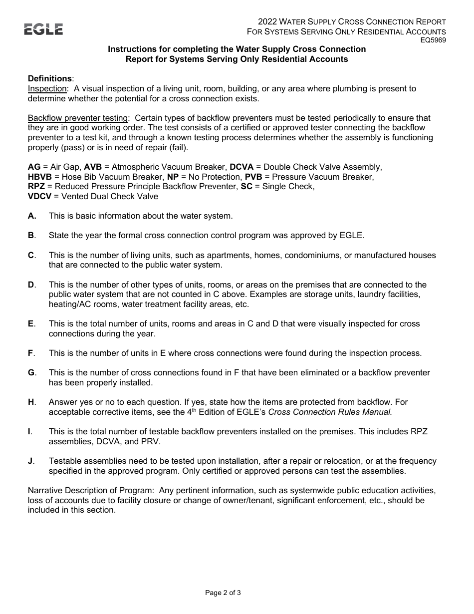
Form EQP5969 Water Supply Cross Connection Report for Systems Serving Only Residential Accounts - Michigan

What Is Form EQP5969?

This is a legal form that was released by the Michigan Department of Environment, Great Lakes, and Energy - a government authority operating within Michigan. As of today, no separate filing guidelines for the form are provided by the issuing department.

FAQ

Q: What is the purpose of Form EQP5969?
A: Form EQP5969 is used to report water supply cross connections for systems serving only residential accounts in Michigan.

Q: Who is required to submit Form EQP5969?
A: Systems serving only residential accounts in Michigan are required to submit Form EQP5969.

Q: What is a water supply cross connection?
A: A water supply cross connection is a connection between a drinking water supply and a potential source of contamination or pollution.

Q: Why is it important to report water supply cross connections?
A: Reporting water supply cross connections is important to prevent contamination of the drinking water supply.

Q: How can I obtain Form EQP5969?
A: Form EQP5969 can be obtained from the relevant regulatory agency or department in Michigan.

ADVERTISEMENT

Form Details:

  • Released on January 1, 2023;
  • The latest edition provided by the Michigan Department of Environment, Great Lakes, and Energy;
  • Easy to use and ready to print;
  • Quick to customize;
  • Compatible with most PDF-viewing applications;
  • Fill out the form in our online filing application.

Download a fillable version of Form EQP5969 by clicking the link below or browse more documents and templates provided by the Michigan Department of Environment, Great Lakes, and Energy.

Download Form EQP5969 Water Supply Cross Connection Report for Systems Serving Only Residential Accounts - Michigan

4.8 of 5 (24 votes)
  • Form EQP5969 Water Supply Cross Connection Report for Systems Serving Only Residential Accounts - Michigan

    1

  • Form EQP5969 Water Supply Cross Connection Report for Systems Serving Only Residential Accounts - Michigan, Page 2

    2

  • Form EQP5969 Water Supply Cross Connection Report for Systems Serving Only Residential Accounts - Michigan, Page 3

    3

  • Form EQP5969 Water Supply Cross Connection Report for Systems Serving Only Residential Accounts - Michigan, Page 1
  • Form EQP5969 Water Supply Cross Connection Report for Systems Serving Only Residential Accounts - Michigan, Page 2
  • Form EQP5969 Water Supply Cross Connection Report for Systems Serving Only Residential Accounts - Michigan, Page 3
Prev 1 2 3 Next
ADVERTISEMENT