DOT Form 224-062 Utility Construction Agreement - Work by Wsdot - Utility Cost - Washington

Notification Icon This version of the form is not currently in use and is provided for reference only. Download this version of DOT Form 224-062 for the current year.

DOT Form 224-062 Utility Construction Agreement - Work by Wsdot - Utility Cost - Washington

What Is DOT Form 224-062?

This is a legal form that was released by the Washington State Department of Transportation - a government authority operating within Washington. As of today, no separate filing guidelines for the form are provided by the issuing department.

FAQ

Q: What is DOT Form 224-062?
A: DOT Form 224-062 is a Utility Construction Agreement related to work by WSDOT.

Q: What does the Utility Construction Agreement cover?
A: The Utility Construction Agreement covers utility costs.

Q: Who is responsible for the Utility Construction Agreement?
A: WSDOT is responsible for the Utility Construction Agreement.

Q: What is WSDOT?
A: WSDOT stands for Washington State Department of Transportation.

Q: What does the Utility Construction Agreement relate to?
A: The Utility Construction Agreement relates to utility work by WSDOT in Washington.

ADVERTISEMENT

Form Details:

  • Released on March 1, 2023;
  • The latest edition provided by the Washington State Department of Transportation;
  • Easy to use and ready to print;
  • Quick to customize;
  • Compatible with most PDF-viewing applications;
  • Fill out the form in our online filing application.

Download a fillable version of DOT Form 224-062 by clicking the link below or browse more documents and templates provided by the Washington State Department of Transportation.

Download DOT Form 224-062 Utility Construction Agreement - Work by Wsdot - Utility Cost - Washington

4.7 of 5 (11 votes)
  • DOT Form 224-062 Utility Construction Agreement - Work by Wsdot - Utility Cost - Washington

    1

  • DOT Form 224-062 Utility Construction Agreement - Work by Wsdot - Utility Cost - Washington, Page 2

    2

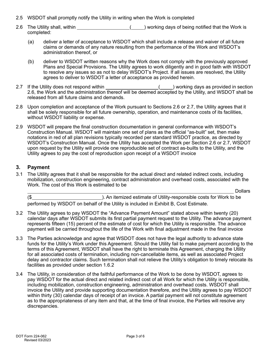
  • DOT Form 224-062 Utility Construction Agreement - Work by Wsdot - Utility Cost - Washington, Page 3

    3

  • DOT Form 224-062 Utility Construction Agreement - Work by Wsdot - Utility Cost - Washington, Page 4

    4

  • DOT Form 224-062 Utility Construction Agreement - Work by Wsdot - Utility Cost - Washington, Page 5

    5

  • DOT Form 224-062 Utility Construction Agreement - Work by Wsdot - Utility Cost - Washington, Page 6

    6

  • DOT Form 224-062 Utility Construction Agreement - Work by Wsdot - Utility Cost - Washington, Page 1
  • DOT Form 224-062 Utility Construction Agreement - Work by Wsdot - Utility Cost - Washington, Page 2
  • DOT Form 224-062 Utility Construction Agreement - Work by Wsdot - Utility Cost - Washington, Page 3
  • DOT Form 224-062 Utility Construction Agreement - Work by Wsdot - Utility Cost - Washington, Page 4
  • DOT Form 224-062 Utility Construction Agreement - Work by Wsdot - Utility Cost - Washington, Page 5
  • DOT Form 224-062 Utility Construction Agreement - Work by Wsdot - Utility Cost - Washington, Page 6
Prev 1 2 3 4 5 6 Next
ADVERTISEMENT

Related Documents