Form A-102 Response / Intervention - Application Under Section 6, 9, 10, 11, 18 or 23 of the Ambulance Services Collective Bargaining Act, 2001 - Ontario, Canada

Form A-102 Response / Intervention - Application Under Section 6, 9, 10, 11, 18 or 23 of the Ambulance Services Collective Bargaining Act, 2001 - Ontario, Canada

Form A-102 Response/Intervention is an application used in Ontario, Canada under the Ambulance Services Collective Bargaining Act, 2001. It is used for requesting a response or intervention related to collective bargaining matters in the ambulance services sector, specifically under sections 6, 9, 10, 11, 18, or 23 of the Act.

The Form A-102 Response/Intervention is filed by any party or individual who wants to respond or intervene in an application under Section 6, 9, 10, 11, 18 or 23 of the Ambulance Services Collective Bargaining Act, 2001 in Ontario, Canada.

FAQ

Q: What is Form A-102?
A: Form A-102 is a response/intervention application form under the Ambulance Services Collective Bargaining Act, 2001 in Ontario, Canada.

Q: What does Form A-102 cover?
A: Form A-102 covers applications made under Section 6, 9, 10, 11, 18, or 23 of the Ambulance Services Collective Bargaining Act, 2001.

Q: Who can submit Form A-102?
A: Any party wishing to respond or intervene in a matter related to ambulance services collective bargaining can submit Form A-102.

Q: What is the purpose of Form A-102?
A: The purpose of Form A-102 is to allow parties to respond or intervene in applications made under the specified sections of the Ambulance Services Collective Bargaining Act, 2001.

ADVERTISEMENT

Download Form A-102 Response / Intervention - Application Under Section 6, 9, 10, 11, 18 or 23 of the Ambulance Services Collective Bargaining Act, 2001 - Ontario, Canada

4.6 of 5 (9 votes)
  • Form A-102 Response/Intervention - Application Under Section 6, 9, 10, 11, 18 or 23 of the Ambulance Services Collective Bargaining Act, 2001 - Ontario, Canada

    1

  • Form A-102 Response/Intervention - Application Under Section 6, 9, 10, 11, 18 or 23 of the Ambulance Services Collective Bargaining Act, 2001 - Ontario, Canada, Page 2

    2

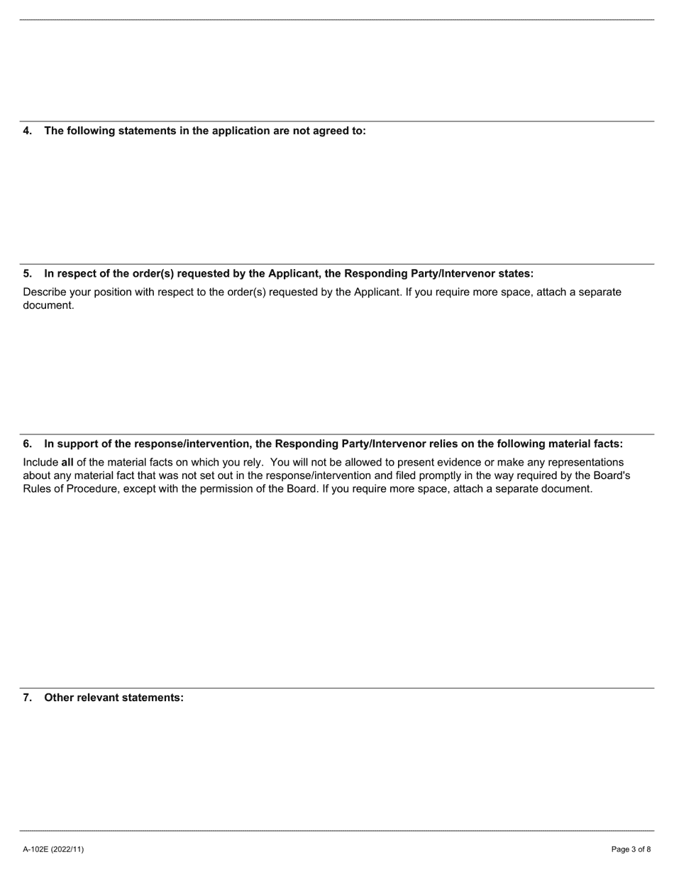
  • Form A-102 Response/Intervention - Application Under Section 6, 9, 10, 11, 18 or 23 of the Ambulance Services Collective Bargaining Act, 2001 - Ontario, Canada, Page 3

    3

  • Form A-102 Response/Intervention - Application Under Section 6, 9, 10, 11, 18 or 23 of the Ambulance Services Collective Bargaining Act, 2001 - Ontario, Canada, Page 4

    4

  • Form A-102 Response/Intervention - Application Under Section 6, 9, 10, 11, 18 or 23 of the Ambulance Services Collective Bargaining Act, 2001 - Ontario, Canada, Page 5

    5

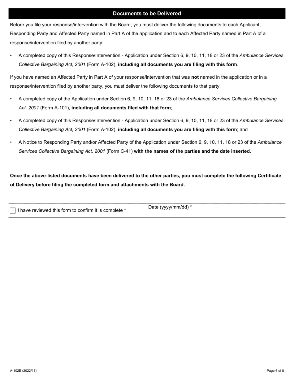
  • Form A-102 Response/Intervention - Application Under Section 6, 9, 10, 11, 18 or 23 of the Ambulance Services Collective Bargaining Act, 2001 - Ontario, Canada, Page 6

    6

  • Form A-102 Response/Intervention - Application Under Section 6, 9, 10, 11, 18 or 23 of the Ambulance Services Collective Bargaining Act, 2001 - Ontario, Canada, Page 7

    7

  • Form A-102 Response/Intervention - Application Under Section 6, 9, 10, 11, 18 or 23 of the Ambulance Services Collective Bargaining Act, 2001 - Ontario, Canada, Page 8

    8

  • Form A-102 Response / Intervention - Application Under Section 6, 9, 10, 11, 18 or 23 of the Ambulance Services Collective Bargaining Act, 2001 - Ontario, Canada, Page 1
  • Form A-102 Response / Intervention - Application Under Section 6, 9, 10, 11, 18 or 23 of the Ambulance Services Collective Bargaining Act, 2001 - Ontario, Canada, Page 2
  • Form A-102 Response / Intervention - Application Under Section 6, 9, 10, 11, 18 or 23 of the Ambulance Services Collective Bargaining Act, 2001 - Ontario, Canada, Page 3
  • Form A-102 Response / Intervention - Application Under Section 6, 9, 10, 11, 18 or 23 of the Ambulance Services Collective Bargaining Act, 2001 - Ontario, Canada, Page 4
  • Form A-102 Response / Intervention - Application Under Section 6, 9, 10, 11, 18 or 23 of the Ambulance Services Collective Bargaining Act, 2001 - Ontario, Canada, Page 5
  • Form A-102 Response / Intervention - Application Under Section 6, 9, 10, 11, 18 or 23 of the Ambulance Services Collective Bargaining Act, 2001 - Ontario, Canada, Page 6
  • Form A-102 Response / Intervention - Application Under Section 6, 9, 10, 11, 18 or 23 of the Ambulance Services Collective Bargaining Act, 2001 - Ontario, Canada, Page 7
  • Form A-102 Response / Intervention - Application Under Section 6, 9, 10, 11, 18 or 23 of the Ambulance Services Collective Bargaining Act, 2001 - Ontario, Canada, Page 8
Prev 1 2 3 4 5 ... 8 Next
ADVERTISEMENT

Related Documents