Zone Amendment Application - Sierra County, California

Zone Amendment Application - Sierra County, California

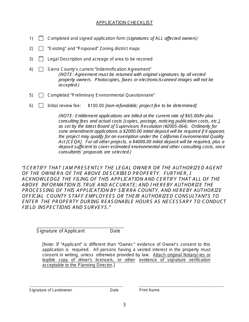
A Zone Amendment Application in Sierra County, California is a document or request that a property owner submits to change the zoning designation of their property. Zoning laws in California regulate the land use, meaning they dictate what type of buildings and activities can occur on specific properties.

For example, an area could be zoned for residential, commercial, industrial, or agricultural uses. If a property owner wishes to change the use of their property - such as converting a residential building into a commercial establishment, they would need to apply for a Zone Amendment.

The Zone Amendment Application will typically include details about the proposed project, reasons for the amendment request, and its potential impacts on neighboring properties and the community as a whole. The application will be reviewed by the local planning commission or zoning board, which might approve or deny the request based on various factors, including compatibility with existing zoning laws and comprehensive plan of the area.

Once approved, the zoning designation of the property will be officially changed in the county records. However, it's worth noting that approval of a Zone Amendment Application does not guarantee approval of any subsequent building permits; the proposed project must still comply with all other applicable regulations and codes.

The Zone Amendment Application in Sierra County, California is typically filed by the property owner or their authorized representative. This could include a land developer, a business owner, or an individual homeowner. These applications are often part of the process for land development or building construction, and they are usually reviewed by the county's planning department or a similar local government agency.

FAQ

Q: What is a Zone Amendment Application?
A: A Zone Amendment Application is a request to change the zoning designation of a specific parcel of land. The zoning designation determines what types of buildings and uses are allowed on that land.

Q: What is the location of Sierra County in California?
A: Sierra County is located in the U.S. state of California, northeast of Sacramento and west of Reno, Nevada. It is part of the Sierra Nevada region.

Q: What happens after a Zone Amendment Application is submitted in Sierra County, California?
A: Once a Zone Amendment Application is submitted in Sierra County, California, it is typically reviewed by the County Planner or Planning Commission. The decision is usually made after public hearings and review of the potential environmental impact. The final decision may also require approval from the Board of Supervisors.

Q: What factors are considered in a Zone Amendment Application in Sierra County, California?
A: Factors considered in a Zone Amendment Application usually include compatibility with the surrounding area, the impact on local traffic and infrastructure, and the potential environmental impact. The proposed change must also conform to the Sierra County General Plan.

Q: Who can submit a Zone Amendment Application in Sierra County, California?
A: A Zone Amendment Application in Sierra County, California can be submitted by the property owner or a representative of the owner, such as a developer or land use attorney.

ADVERTISEMENT

Download Zone Amendment Application - Sierra County, California

4.5 of 5 (17 votes)
  • Zone Amendment Application - Sierra County, California

    1

  • Zone Amendment Application - Sierra County, California, Page 2

    2

  • Zone Amendment Application - Sierra County, California, Page 3

    3

  • Zone Amendment Application - Sierra County, California, Page 1
  • Zone Amendment Application - Sierra County, California, Page 2
  • Zone Amendment Application - Sierra County, California, Page 3
Prev 1 2 3 Next
ADVERTISEMENT