Form VT-020 Vermont Title Bond - Vermont

Notification Icon This version of the form is not currently in use and is provided for reference only. Download this version of Form VT-020 for the current year.

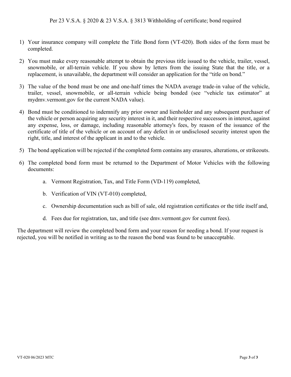
Form VT-020 Vermont Title Bond - Vermont

What Is Form VT-020?

This is a legal form that was released by the Vermont Department of Motor Vehicles - a government authority operating within Vermont. As of today, no separate filing guidelines for the form are provided by the issuing department.

FAQ

Q: What is Form VT-020?
A: Form VT-020 is the Vermont Title Bond form.

Q: What is a title bond?
A: A title bond is a surety bond that guarantees the ownership of a vehicle when there is a missing or defective title.

Q: Why would I need a title bond in Vermont?
A: You may need a title bond in Vermont if you cannot obtain a valid title for a vehicle.

Q: What information is required on Form VT-020?
A: Form VT-020 requires information about the vehicle, the applicant, and the bonding company.

Q: How much does a Vermont Title Bond cost?
A: The cost of a Vermont Title Bond varies depending on factors such as the value of the vehicle and the bonding company.

ADVERTISEMENT

Form Details:

  • Released on June 1, 2023;
  • The latest edition provided by the Vermont Department of Motor Vehicles;
  • Easy to use and ready to print;
  • Quick to customize;
  • Compatible with most PDF-viewing applications;
  • Fill out the form in our online filing application.

Download a printable version of Form VT-020 by clicking the link below or browse more documents and templates provided by the Vermont Department of Motor Vehicles.

Download Form VT-020 Vermont Title Bond - Vermont

4.5 of 5 (23 votes)
  • Form VT-020 Vermont Title Bond - Vermont

    1

  • Form VT-020 Vermont Title Bond - Vermont, Page 2

    2

  • Form VT-020 Vermont Title Bond - Vermont, Page 3

    3

  • Form VT-020 Vermont Title Bond - Vermont, Page 1
  • Form VT-020 Vermont Title Bond - Vermont, Page 2
  • Form VT-020 Vermont Title Bond - Vermont, Page 3
Prev 1 2 3 Next
ADVERTISEMENT