Form P33A Employee Medical Certificate - Connecticut

Notification Icon This version of the form is not currently in use and is provided for reference only. Download this version of Form P33A for the current year.

Form P33A Employee Medical Certificate - Connecticut

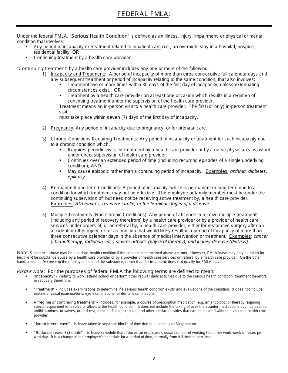
What Is Form P33A?

This is a legal form that was released by the Connecticut Department of Administrative Services - a government authority operating within Connecticut. As of today, no separate filing guidelines for the form are provided by the issuing department.

FAQ

Q: What is Form P33A?
A: Form P33A is an Employee Medical Certificate in Connecticut.

Q: Who needs to fill out Form P33A?
A: Form P33A needs to be filled out by employees who require a medical certificate for a specified reason.

Q: What is the purpose of Form P33A?
A: The purpose of Form P33A is to certify an employee's medical condition and their ability to perform their job duties.

Q: When should Form P33A be filled out?
A: Form P33A should be filled out when an employee is seeking medical certification for a specified reason.

Q: Who should I submit Form P33A to?
A: Form P33A should be submitted to the employer and a copy should be kept by the employee.

Q: Is there a deadline for submitting Form P33A?
A: Yes, there is a deadline for submitting Form P33A, which is usually within 10 days of the employee's request for medical certification.

Q: What information is required on Form P33A?
A: Form P33A requires information such as the employee's personal details, the medical condition being certified, and the healthcare provider's information.

Q: Can my employer request additional documentation after receiving Form P33A?
A: Yes, your employer may request additional documentation to support the medical certification provided on Form P33A.

Q: What happens after submitting Form P33A?
A: After submitting Form P33A, your employer will review the medical certification and determine the appropriate course of action regarding your employment.

ADVERTISEMENT

Form Details:

  • Released on February 1, 2011;
  • The latest edition provided by the Connecticut Department of Administrative Services;
  • Easy to use and ready to print;
  • Quick to customize;
  • Compatible with most PDF-viewing applications;
  • Fill out the form in our online filing application.

Download a fillable version of Form P33A by clicking the link below or browse more documents and templates provided by the Connecticut Department of Administrative Services.

Download Form P33A Employee Medical Certificate - Connecticut

4.6 of 5 (51 votes)
  • Form P33A Employee Medical Certificate - Connecticut

    1

  • Form P33A Employee Medical Certificate - Connecticut, Page 2

    2

  • Form P33A Employee Medical Certificate - Connecticut, Page 3

    3

  • Form P33A Employee Medical Certificate - Connecticut, Page 4

    4

  • Form P33A Employee Medical Certificate - Connecticut, Page 1
  • Form P33A Employee Medical Certificate - Connecticut, Page 2
  • Form P33A Employee Medical Certificate - Connecticut, Page 3
  • Form P33A Employee Medical Certificate - Connecticut, Page 4
Prev 1 2 3 4 Next
ADVERTISEMENT