Month-To-Month Lease Agreement Template - Twenty One Points - New Mexico

Month-To-Month Lease Agreement Template - Twenty One Points - New Mexico

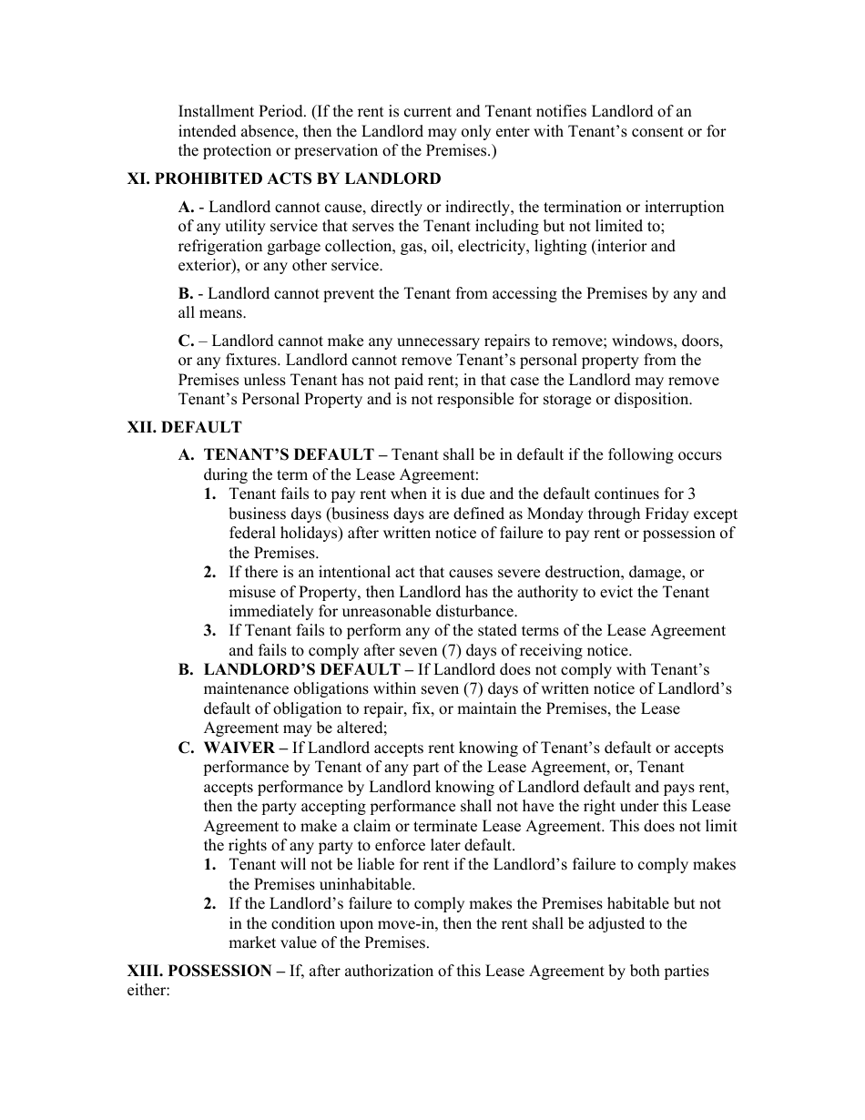
The Month-To-Month Lease Agreement Template - Twenty One Points - New Mexico is a document used for creating a rental agreement between a landlord and a tenant in New Mexico that follows certain standards and includes various terms and conditions.

The tenant and landlord both need to sign and file the month-to-month lease agreement template in New Mexico.

FAQ

Q: What is a month-to-month lease agreement?
A: A month-to-month lease agreement is a rental agreement that does not have a fixed term and runs on a month-to-month basis.

Q: What is a lease agreement template?
A: A lease agreement template is a pre-designed document that outlines the terms and conditions of a lease agreement, which can be customized for specific rental situations.

Q: Is a month-to-month lease agreement common in New Mexico?
A: Yes, month-to-month lease agreements are common in New Mexico as they offer flexibility for both landlords and tenants.

Q: What are the advantages of a month-to-month lease agreement?
A: Advantages of a month-to-month lease agreement include flexibility, shorter commitment, and easy termination.

Q: What are the key points to include in a month-to-month lease agreement template?
A: Some key points to include in a month-to-month lease agreement template are rent amount, payment due date, security deposit, termination notice period, and maintenance responsibilities.

Q: Can a landlord increase the rent in a month-to-month lease agreement?
A: Yes, landlords can increase the rent in a month-to-month lease agreement, but they must provide proper notice to the tenant.

Q: Can a tenant terminate a month-to-month lease agreement?
A: Yes, a tenant can terminate a month-to-month lease agreement by providing proper notice to the landlord.

Q: Is a written month-to-month lease agreement necessary?
A: While oral agreements are legally valid, it is recommended to have a written month-to-month lease agreement to avoid any disputes or misunderstandings.

ADVERTISEMENT

Download Month-To-Month Lease Agreement Template - Twenty One Points - New Mexico

4.4 of 5 (13 votes)
  • Month-To-Month Lease Agreement Template - Twenty One Points - New Mexico

    1

  • Month-To-Month Lease Agreement Template - Twenty One Points - New Mexico, Page 2

    2

  • Month-To-Month Lease Agreement Template - Twenty One Points - New Mexico, Page 3

    3

  • Month-To-Month Lease Agreement Template - Twenty One Points - New Mexico, Page 4

    4

  • Month-To-Month Lease Agreement Template - Twenty One Points - New Mexico, Page 5

    5

  • Month-To-Month Lease Agreement Template - Twenty One Points - New Mexico, Page 6

    6

  • Month-To-Month Lease Agreement Template - Twenty One Points - New Mexico, Page 7

    7

  • Month-To-Month Lease Agreement Template - Twenty One Points - New Mexico, Page 1
  • Month-To-Month Lease Agreement Template - Twenty One Points - New Mexico, Page 2
  • Month-To-Month Lease Agreement Template - Twenty One Points - New Mexico, Page 3
  • Month-To-Month Lease Agreement Template - Twenty One Points - New Mexico, Page 4
  • Month-To-Month Lease Agreement Template - Twenty One Points - New Mexico, Page 5
  • Month-To-Month Lease Agreement Template - Twenty One Points - New Mexico, Page 6
  • Month-To-Month Lease Agreement Template - Twenty One Points - New Mexico, Page 7
Prev 1 2 3 4 5 ... 7 Next
ADVERTISEMENT