DD Form 1966 Record of Military Processing - Armed Forces of the United States

Notification Icon This version of the form is not currently in use and is provided for reference only. Download this version of DD Form 1966 for the current year.

DD Form 1966 Record of Military Processing - Armed Forces of the United States

What Is DD Form 1966?

DD Form 1966, Record of Military Processing - Armed Forces of the United States, is used for collecting information about individuals enlisting in the U.S. Army to determine if they meet recruitment standards. The DD 1966 also contains a section that provides written consent to allow medical providers to release personal medical records to the DoD.

The latest version of the form - sometimes incorrectly referred to as the DA Form 1966 - was released by the Department of Defense (DoD) on September 1, 2014 , with the previous edition being obsolete.

Additional information is also gathered from employers and schools so that the Department of Defense can determine eligibility for joining the Army and to verify the identity of the enlistees. If all standards are met, the information provided on this form starts the soldier's Official Military Personnel File.

How Do I Get My DD Form 1966?

An up-to-date DD Form 1966 fillable version is available for download and digital filing below or can be found on the Executive Services Directorate website.

ADVERTISEMENT

How to Read DD Form 1966?

The form consists of five subsections: DD Form 1966/1 , DD Form 1966/2 , DD Form 1966/3 , DD Form 1966/4 , DD Form 1966/5 . The instructions are on the back of the first page along with the privacy act statement.

DD Form 1966 Instructions

A complete overview of the form is included in the Army Regulation 601-210, released on May 16th, 2005. The guidance counselor will review and ensure that DD 1966 is properly completed and compare all entries to verification documents and the SF 86 (Standard Form 86, Questionnaire for National Security Positions). The final completed DD Form 1966 should be free of errors and must be legible. The counselor will print all entries.

The first page of the form consists of four blocks and two sections. Block A is for information on service processing. Block B is providing information about prior service and the duration of that past service. Block C is for selective service classification if there is any. Block D is for a selective service registration number if there is one.

  1. Section I consists of 15 Blocks for providing personal data. This includes the name of the enlistee, their SSN, current address and home of record, citizenship data, date of birth, marital status, and information about education and dependents - if any.

  2. Section II is for providing examination and entrance data processing codes. Block 16 is for aptitude test results (results are provided by MEPS personnel, system, or DMDC). Block 17 is for DEP enlistment data. Block 18 is for Accession Data. Block 19 is for providing Service required codes. (DEP/ACCESSION RECORD is to be completed by MEPS personnel).

  3. The second page starts with Blocks 20 (Name) and 21 (SSN) and Section III where other personal information must be provided. This Section consists of Block 22 (Education), Block 23 (Marital/Dependency Status and Family Data), Block 24 (Previous military service or employment with US government, Block 25 (Ability Perform Military Duties), Block 26 (Drug abuse). All blocks in Section III are yes or no questions.

  4. The third page contains Section IV and Section V as well as the same two blocks for the name and SSN of the enlistee.

    • Section IV is for the certification by all of the different parties involved in the enlistment process. This includes the names, verification signatures, and other personal information of the applicant, the recruiter, a witness, and the acceptor.
    • Section V is for recertification and is filed at the time of entering active duty if any changes are required.
  5. The fourth page contains lines for the name and the SSN as well as Sections VI, Remarks , and Section VII, Statement of Name . Section VII specifies the name as shown on the birth certificate and SSN card for official military records and records any changes of name that may have taken place.

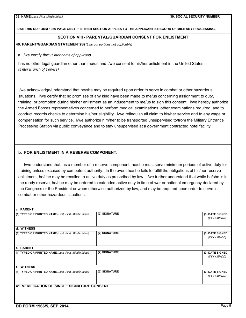
  6. Page five is for Section VIII, Parental/Guardian Consent For Enlistment . This page should be used only if any of the provided options are applicable to the record of military processing.

Download DD Form 1966 Record of Military Processing - Armed Forces of the United States

4.5 of 5 (178 votes)
  • DD Form 1966 Record of Military Processing - Armed Forces of the United States

    1

  • DD Form 1966 Record of Military Processing - Armed Forces of the United States, Page 2

    2

  • DD Form 1966 Record of Military Processing - Armed Forces of the United States, Page 3

    3

  • DD Form 1966 Record of Military Processing - Armed Forces of the United States, Page 4

    4

  • DD Form 1966 Record of Military Processing - Armed Forces of the United States, Page 5

    5

  • DD Form 1966 Record of Military Processing - Armed Forces of the United States, Page 6

    6

  • DD Form 1966 Record of Military Processing - Armed Forces of the United States, Page 1
  • DD Form 1966 Record of Military Processing - Armed Forces of the United States, Page 2
  • DD Form 1966 Record of Military Processing - Armed Forces of the United States, Page 3
  • DD Form 1966 Record of Military Processing - Armed Forces of the United States, Page 4
  • DD Form 1966 Record of Military Processing - Armed Forces of the United States, Page 5
  • DD Form 1966 Record of Military Processing - Armed Forces of the United States, Page 6
Prev 1 2 3 4 5 6 Next
ADVERTISEMENT