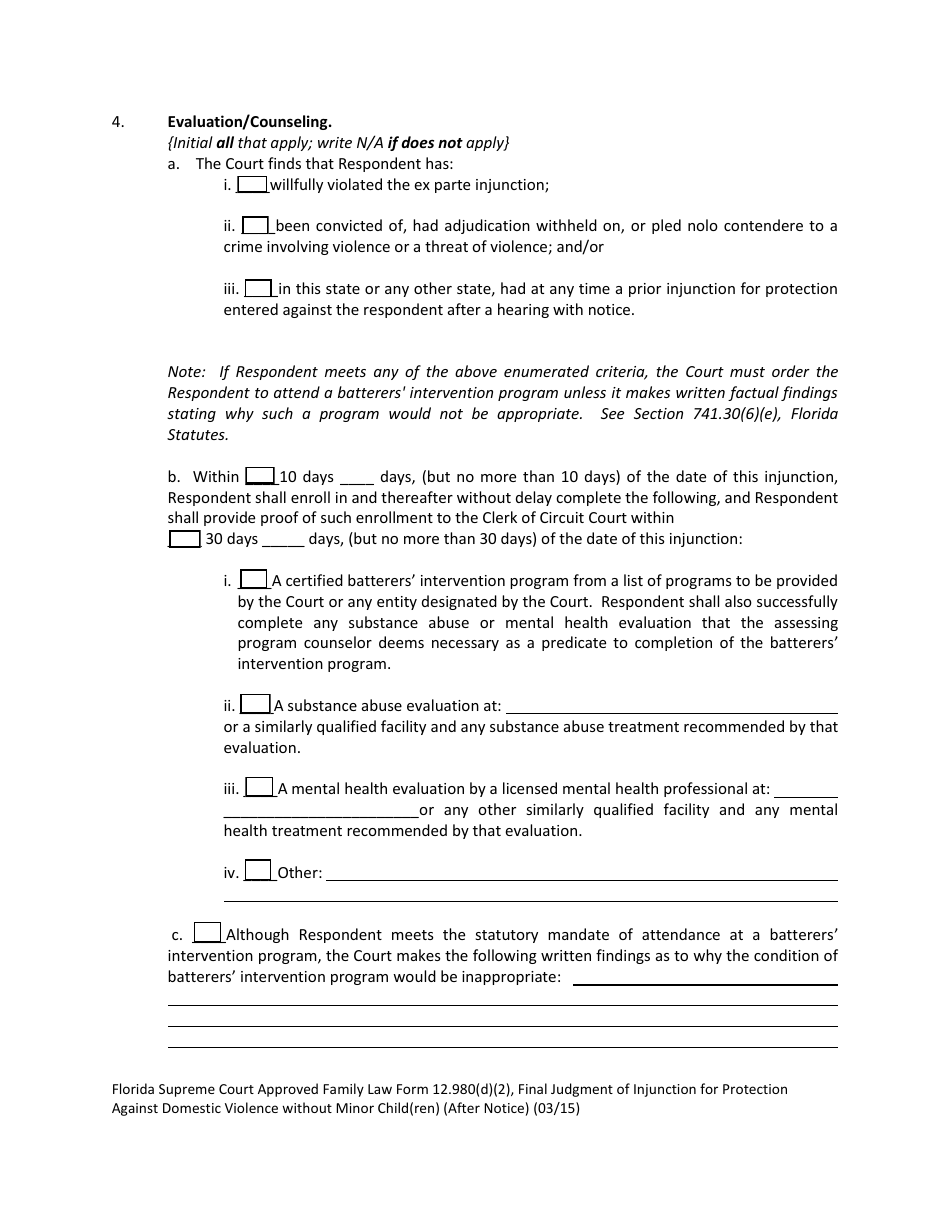
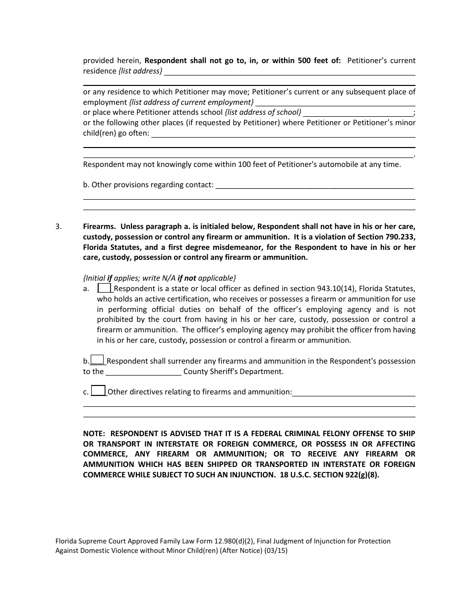
Form 12.980(D)(2) Final Judgment of Injunction for Protection Against Domestic Violence Without Minor Child(Ren) (After Notice) - Florida

Notification Icon This version of the form is not currently in use and is provided for reference only. Download this version of Form 12.980(D)(2) for the current year.

Form 12.980(D)(2) Final Judgment of Injunction for Protection Against Domestic Violence Without Minor Child(Ren) (After Notice) - Florida

What Is Form 12.980(D)(2)?

This is a legal form that was released by the Florida Circuit Court - a government authority operating within Florida. As of today, no separate filing guidelines for the form are provided by the issuing department.

FAQ

Q: What is Form 12.980(D)(2)?
A: Form 12.980(D)(2) is the official form in Florida for a Final Judgment of Injunction for Protection Against Domestic Violence Without Minor Child(Ren) (After Notice).

Q: What is the purpose of this form?
A: The purpose of this form is to request a final judgment from the court for a domestic violence injunction when there are no minor children involved.

Q: Who can use this form?
A: This form can be used by individuals who are seeking protection from domestic violence and do not have any minor children with the respondent.

Q: What does this form require?
A: This form requires information about the petitioner, the respondent, and the incidents of domestic violence that have occurred. It also requires the petitioner to provide details about any previous injunctions.

ADVERTISEMENT

Form Details:

  • Released on March 1, 2015;
  • The latest edition provided by the Florida Circuit Court;
  • Easy to use and ready to print;
  • Quick to customize;
  • Compatible with most PDF-viewing applications;
  • Fill out the form in our online filing application.

Download a fillable version of Form 12.980(D)(2) by clicking the link below or browse more documents and templates provided by the Florida Circuit Court.

Download Form 12.980(D)(2) Final Judgment of Injunction for Protection Against Domestic Violence Without Minor Child(Ren) (After Notice) - Florida

4.5 of 5 (12 votes)
  • Form 12.980(D)(2) Final Judgment of Injunction for Protection Against Domestic Violence Without Minor Child(Ren) (After Notice) - Florida

    1

  • Form 12.980(D)(2) Final Judgment of Injunction for Protection Against Domestic Violence Without Minor Child(Ren) (After Notice) - Florida, Page 2

    2

  • Form 12.980(D)(2) Final Judgment of Injunction for Protection Against Domestic Violence Without Minor Child(Ren) (After Notice) - Florida, Page 3

    3

  • Form 12.980(D)(2) Final Judgment of Injunction for Protection Against Domestic Violence Without Minor Child(Ren) (After Notice) - Florida, Page 4

    4

  • Form 12.980(D)(2) Final Judgment of Injunction for Protection Against Domestic Violence Without Minor Child(Ren) (After Notice) - Florida, Page 5

    5

  • Form 12.980(D)(2) Final Judgment of Injunction for Protection Against Domestic Violence Without Minor Child(Ren) (After Notice) - Florida, Page 6

    6

  • Form 12.980(D)(2) Final Judgment of Injunction for Protection Against Domestic Violence Without Minor Child(Ren) (After Notice) - Florida, Page 7

    7

  • Form 12.980(D)(2) Final Judgment of Injunction for Protection Against Domestic Violence Without Minor Child(Ren) (After Notice) - Florida, Page 8

    8

  • Form 12.980(D)(2) Final Judgment of Injunction for Protection Against Domestic Violence Without Minor Child(Ren) (After Notice) - Florida, Page 9

    9

  • Form 12.980(D)(2) Final Judgment of Injunction for Protection Against Domestic Violence Without Minor Child(Ren) (After Notice) - Florida, Page 1
  • Form 12.980(D)(2) Final Judgment of Injunction for Protection Against Domestic Violence Without Minor Child(Ren) (After Notice) - Florida, Page 2
  • Form 12.980(D)(2) Final Judgment of Injunction for Protection Against Domestic Violence Without Minor Child(Ren) (After Notice) - Florida, Page 3
  • Form 12.980(D)(2) Final Judgment of Injunction for Protection Against Domestic Violence Without Minor Child(Ren) (After Notice) - Florida, Page 4
  • Form 12.980(D)(2) Final Judgment of Injunction for Protection Against Domestic Violence Without Minor Child(Ren) (After Notice) - Florida, Page 5
  • Form 12.980(D)(2) Final Judgment of Injunction for Protection Against Domestic Violence Without Minor Child(Ren) (After Notice) - Florida, Page 6
  • Form 12.980(D)(2) Final Judgment of Injunction for Protection Against Domestic Violence Without Minor Child(Ren) (After Notice) - Florida, Page 7
  • Form 12.980(D)(2) Final Judgment of Injunction for Protection Against Domestic Violence Without Minor Child(Ren) (After Notice) - Florida, Page 8
  • Form 12.980(D)(2) Final Judgment of Injunction for Protection Against Domestic Violence Without Minor Child(Ren) (After Notice) - Florida, Page 9
Prev 1 2 3 4 5 ... 9 Next
ADVERTISEMENT

Related Documents