Form DBPR VM6 Application to Reinstate Null and Void License - Florida

Notification Icon This version of the form is not currently in use and is provided for reference only. Download this version of Form DBPR VM6 for the current year.

Form DBPR VM6 Application to Reinstate Null and Void License - Florida

What Is Form DBPR VM6?

This is a legal form that was released by the Florida Department of Business & Professional Regulation - a government authority operating within Florida. As of today, no separate filing guidelines for the form are provided by the issuing department.

FAQ

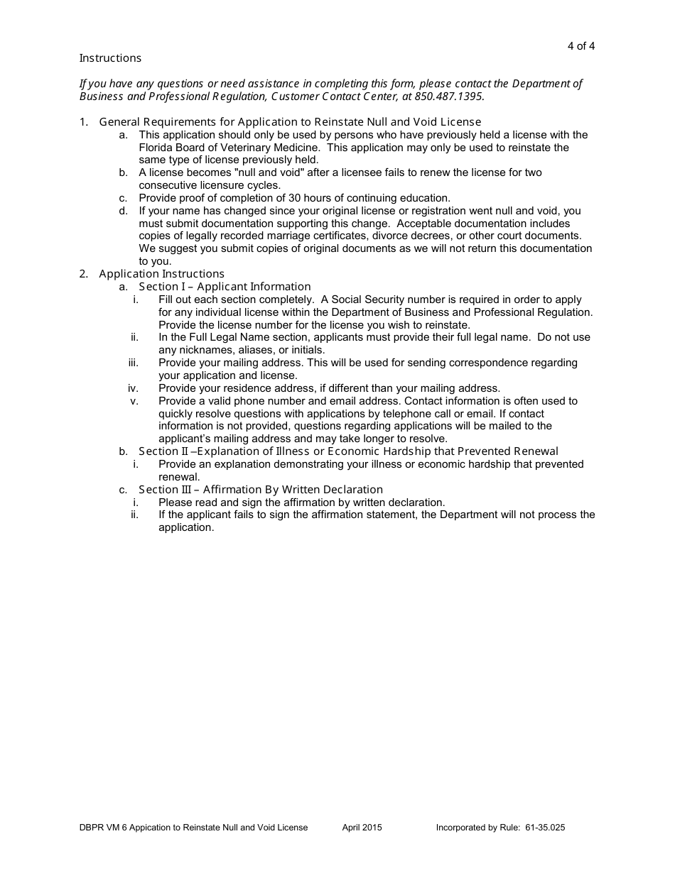
Q: What is a DBPR VM6 Application?
A: The DBPR VM6 Application is a form used to reinstate a null and void license in Florida.

Q: What does it mean for a license to be null and void?
A: A null and void license means that the license has expired and is no longer valid.

Q: How do I reinstate a null and void license in Florida?
A: To reinstate a null and void license in Florida, you need to complete and submit the DBPR VM6 Application form.

Q: What information do I need to provide on the DBPR VM6 Application form?
A: You will need to provide your personal information, license information, and any other required documentation or fees as specified on the form.

Q: Are there any fees associated with reinstating a null and void license?
A: Yes, there may be fees associated with reinstating a null and void license. The specific fees can be found on the DBPR VM6 Application form.

Q: How long does it take to process a DBPR VM6 Application?
A: The processing time for a DBPR VM6 Application can vary. It is recommended to contact the DBPR directly for an estimate of the processing time.

Q: Can I reinstate a null and void license if I have outstanding disciplinary actions or fines?
A: It depends on the specific circumstances. You may need to resolve any outstanding disciplinary actions or fines before your license can be reinstated.

Q: What happens after I submit the DBPR VM6 Application form?
A: After you submit the DBPR VM6 Application form, it will be reviewed by the DBPR. If approved, your license will be reinstated.

Q: What if my DBPR VM6 Application is denied?
A: If your DBPR VM6 Application is denied, you will receive notification from the DBPR with the reason for the denial. You may have the option to appeal the decision.

ADVERTISEMENT

Form Details:

  • Released on April 1, 2015;
  • The latest edition provided by the Florida Department of Business & Professional Regulation;
  • Easy to use and ready to print;
  • Quick to customize;
  • Compatible with most PDF-viewing applications;
  • Fill out the form in our online filing application.

Download a printable version of Form DBPR VM6 by clicking the link below or browse more documents and templates provided by the Florida Department of Business & Professional Regulation.

Download Form DBPR VM6 Application to Reinstate Null and Void License - Florida

4.7 of 5 (49 votes)
  • Form DBPR VM6 Application to Reinstate Null and Void License - Florida

    1

  • Form DBPR VM6 Application to Reinstate Null and Void License - Florida, Page 2

    2

  • Form DBPR VM6 Application to Reinstate Null and Void License - Florida, Page 3

    3

  • Form DBPR VM6 Application to Reinstate Null and Void License - Florida, Page 4

    4

  • Form DBPR VM6 Application to Reinstate Null and Void License - Florida, Page 1
  • Form DBPR VM6 Application to Reinstate Null and Void License - Florida, Page 2
  • Form DBPR VM6 Application to Reinstate Null and Void License - Florida, Page 3
  • Form DBPR VM6 Application to Reinstate Null and Void License - Florida, Page 4
Prev 1 2 3 4 Next
ADVERTISEMENT

Related Documents