Form TCEQ-10264 (OP-UA57) Cleaning / Depainting Operation Attributes - Texas

Form TCEQ-10264 (OP-UA57) Cleaning / Depainting Operation Attributes - Texas

What Is Form TCEQ-10264 (OP-UA57)?

This is a legal form that was released by the Texas Commission on Environmental Quality - a government authority operating within Texas. As of today, no separate filing guidelines for the form are provided by the issuing department.

FAQ

Q: What is Form TCEQ-10264 (OP-UA57)?
A: Form TCEQ-10264 (OP-UA57) is a document used for reporting Cleaning/Depainting Operation Attributes in the state of Texas.

Q: Who needs to fill out Form TCEQ-10264?
A: Any facility conducting cleaning or depainting operations in Texas may need to fill out this form depending on the specific requirements and regulations set by the Texas Commission on Environmental Quality (TCEQ).

Q: What information is required on Form TCEQ-10264?
A: The form requires information about the facility and the cleaning/depainting operations, such as equipment used, cleaning substances, air pollution control measures, and waste disposal methods.

ADVERTISEMENT

Form Details:

  • Released on August 1, 2014;
  • The latest edition provided by the Texas Commission on Environmental Quality;
  • Easy to use and ready to print;
  • Quick to customize;
  • Compatible with most PDF-viewing applications;
  • Fill out the form in our online filing application.

Download a printable version of Form TCEQ-10264 (OP-UA57) by clicking the link below or browse more documents and templates provided by the Texas Commission on Environmental Quality.

Download Form TCEQ-10264 (OP-UA57) Cleaning / Depainting Operation Attributes - Texas

4.5 of 5 (25 votes)
  • Form TCEQ-10264 (OP-UA57) Cleaning/Depainting Operation Attributes - Texas

    1

  • Form TCEQ-10264 (OP-UA57) Cleaning/Depainting Operation Attributes - Texas, Page 2

    2

  • Form TCEQ-10264 (OP-UA57) Cleaning/Depainting Operation Attributes - Texas, Page 3

    3

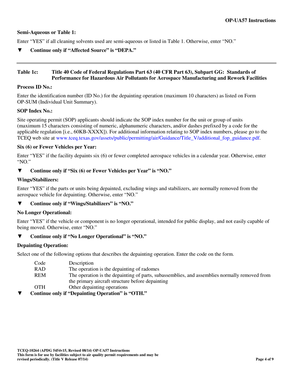
  • Form TCEQ-10264 (OP-UA57) Cleaning/Depainting Operation Attributes - Texas, Page 4

    4

  • Form TCEQ-10264 (OP-UA57) Cleaning/Depainting Operation Attributes - Texas, Page 5

    5

  • Form TCEQ-10264 (OP-UA57) Cleaning/Depainting Operation Attributes - Texas, Page 6

    6

  • Form TCEQ-10264 (OP-UA57) Cleaning/Depainting Operation Attributes - Texas, Page 7

    7

  • Form TCEQ-10264 (OP-UA57) Cleaning/Depainting Operation Attributes - Texas, Page 8

    8

  • Form TCEQ-10264 (OP-UA57) Cleaning/Depainting Operation Attributes - Texas, Page 9

    9

  • Form TCEQ-10264 (OP-UA57) Cleaning/Depainting Operation Attributes - Texas, Page 10

    10

  • Form TCEQ-10264 (OP-UA57) Cleaning/Depainting Operation Attributes - Texas, Page 11

    11

  • Form TCEQ-10264 (OP-UA57) Cleaning/Depainting Operation Attributes - Texas, Page 12

    12

  • Form TCEQ-10264 (OP-UA57) Cleaning/Depainting Operation Attributes - Texas, Page 13

    13

  • Form TCEQ-10264 (OP-UA57) Cleaning/Depainting Operation Attributes - Texas, Page 14

    14

  • Form TCEQ-10264 (OP-UA57) Cleaning/Depainting Operation Attributes - Texas, Page 15

    15

  • Form TCEQ-10264 (OP-UA57) Cleaning/Depainting Operation Attributes - Texas, Page 16

    16

  • Form TCEQ-10264 (OP-UA57) Cleaning / Depainting Operation Attributes - Texas, Page 1
  • Form TCEQ-10264 (OP-UA57) Cleaning / Depainting Operation Attributes - Texas, Page 2
  • Form TCEQ-10264 (OP-UA57) Cleaning / Depainting Operation Attributes - Texas, Page 3
  • Form TCEQ-10264 (OP-UA57) Cleaning / Depainting Operation Attributes - Texas, Page 4
  • Form TCEQ-10264 (OP-UA57) Cleaning / Depainting Operation Attributes - Texas, Page 5
  • Form TCEQ-10264 (OP-UA57) Cleaning / Depainting Operation Attributes - Texas, Page 6
  • Form TCEQ-10264 (OP-UA57) Cleaning / Depainting Operation Attributes - Texas, Page 7
  • Form TCEQ-10264 (OP-UA57) Cleaning / Depainting Operation Attributes - Texas, Page 8
  • Form TCEQ-10264 (OP-UA57) Cleaning / Depainting Operation Attributes - Texas, Page 9
  • Form TCEQ-10264 (OP-UA57) Cleaning / Depainting Operation Attributes - Texas, Page 10
  • Form TCEQ-10264 (OP-UA57) Cleaning / Depainting Operation Attributes - Texas, Page 11
  • Form TCEQ-10264 (OP-UA57) Cleaning / Depainting Operation Attributes - Texas, Page 12
  • Form TCEQ-10264 (OP-UA57) Cleaning / Depainting Operation Attributes - Texas, Page 13
  • Form TCEQ-10264 (OP-UA57) Cleaning / Depainting Operation Attributes - Texas, Page 14
  • Form TCEQ-10264 (OP-UA57) Cleaning / Depainting Operation Attributes - Texas, Page 15
  • Form TCEQ-10264 (OP-UA57) Cleaning / Depainting Operation Attributes - Texas, Page 16
Prev 1 2 3 4 5 ... 16 Next
ADVERTISEMENT