Form 452 Certificate of Cancellation of a Foreign Limited Liability Company - Rhode Island

Notification Icon This version of the form is not currently in use and is provided for reference only. Download this version of Form 452 for the current year.

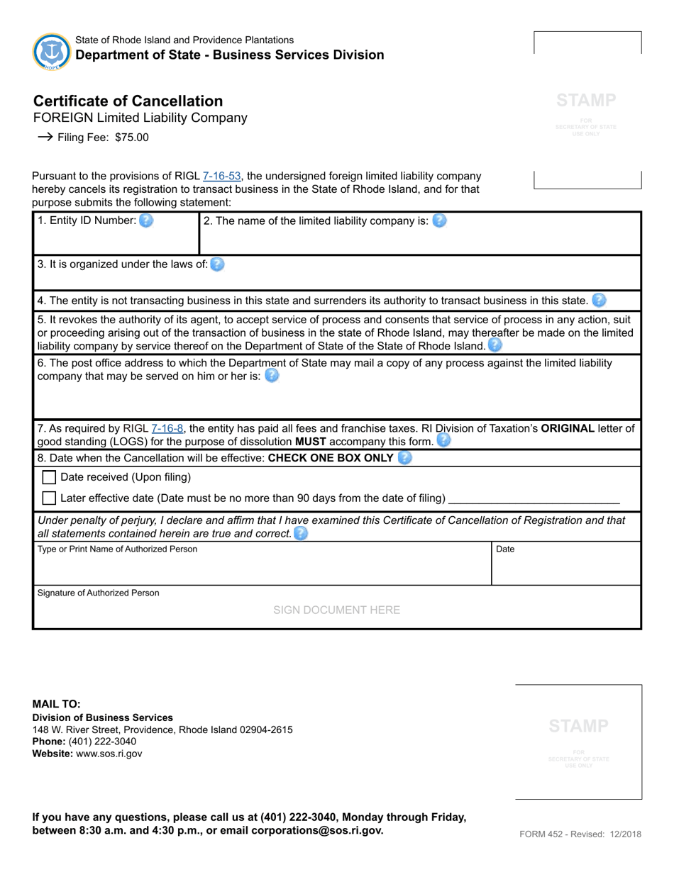
Form 452 Certificate of Cancellation of a Foreign Limited Liability Company - Rhode Island

What Is Form 452?

This is a legal form that was released by the Rhode Island Secretary of State - a government authority operating within Rhode Island. As of today, no separate filing guidelines for the form are provided by the issuing department.

FAQ

Q: What is Form 452?
A: Form 452 is the Certificate of Cancellation of a Foreign Limited Liability Company in Rhode Island.

Q: What is a Foreign Limited Liability Company?
A: A Foreign Limited Liability Company is a business entity that was formed in another state or country and is operating in Rhode Island.

Q: When should Form 452 be filed?
A: Form 452 should be filed when a Foreign Limited Liability Company wishes to cancel its registration in Rhode Island.

Q: What information is required in Form 452?
A: Form 452 requires information such as the name of the Foreign Limited Liability Company, the state or country of formation, and the reason for cancellation.

Q: How can Form 452 be filed?
A: Form 452 can be filed by mail or in person with the Rhode Island Secretary of State's office.

Q: What happens after Form 452 is filed?
A: After Form 452 is filed and accepted, the Foreign Limited Liability Company's registration in Rhode Island will be cancelled and its status will reflect as inactive.

Q: Is there a deadline for filing Form 452?
A: While there is no specific deadline, it is recommended to file Form 452 as soon as a Foreign Limited Liability Company decides to cancel its registration in Rhode Island.

Q: Can I obtain a copy of Form 452?
A: Yes, a copy of filed Form 452 can be obtained from the Rhode Island Secretary of State's office upon request.

ADVERTISEMENT

Form Details:

  • Released on December 1, 2018;
  • The latest edition provided by the Rhode Island Secretary of State;
  • Easy to use and ready to print;
  • Quick to customize;
  • Compatible with most PDF-viewing applications;
  • Fill out the form in our online filing application.

Download a fillable version of Form 452 by clicking the link below or browse more documents and templates provided by the Rhode Island Secretary of State.

Download Form 452 Certificate of Cancellation of a Foreign Limited Liability Company - Rhode Island

4.5 of 5 (74 votes)
  • Form 452 Certificate of Cancellation of a Foreign Limited Liability Company - Rhode Island

    1

  • Form 452 Certificate of Cancellation of a Foreign Limited Liability Company - Rhode Island, Page 2

    2

  • Form 452 Certificate of Cancellation of a Foreign Limited Liability Company - Rhode Island, Page 3

    3

  • Form 452 Certificate of Cancellation of a Foreign Limited Liability Company - Rhode Island, Page 1
  • Form 452 Certificate of Cancellation of a Foreign Limited Liability Company - Rhode Island, Page 2
  • Form 452 Certificate of Cancellation of a Foreign Limited Liability Company - Rhode Island, Page 3
Prev 1 2 3 Next
ADVERTISEMENT

Related Documents