DSS Form 27126 Order / Notice to Withhold Income for Child Support and Notice of an Order to Withhold Income for Child Support - South Carolina

DSS Form 27126 Order / Notice to Withhold Income for Child Support and Notice of an Order to Withhold Income for Child Support - South Carolina

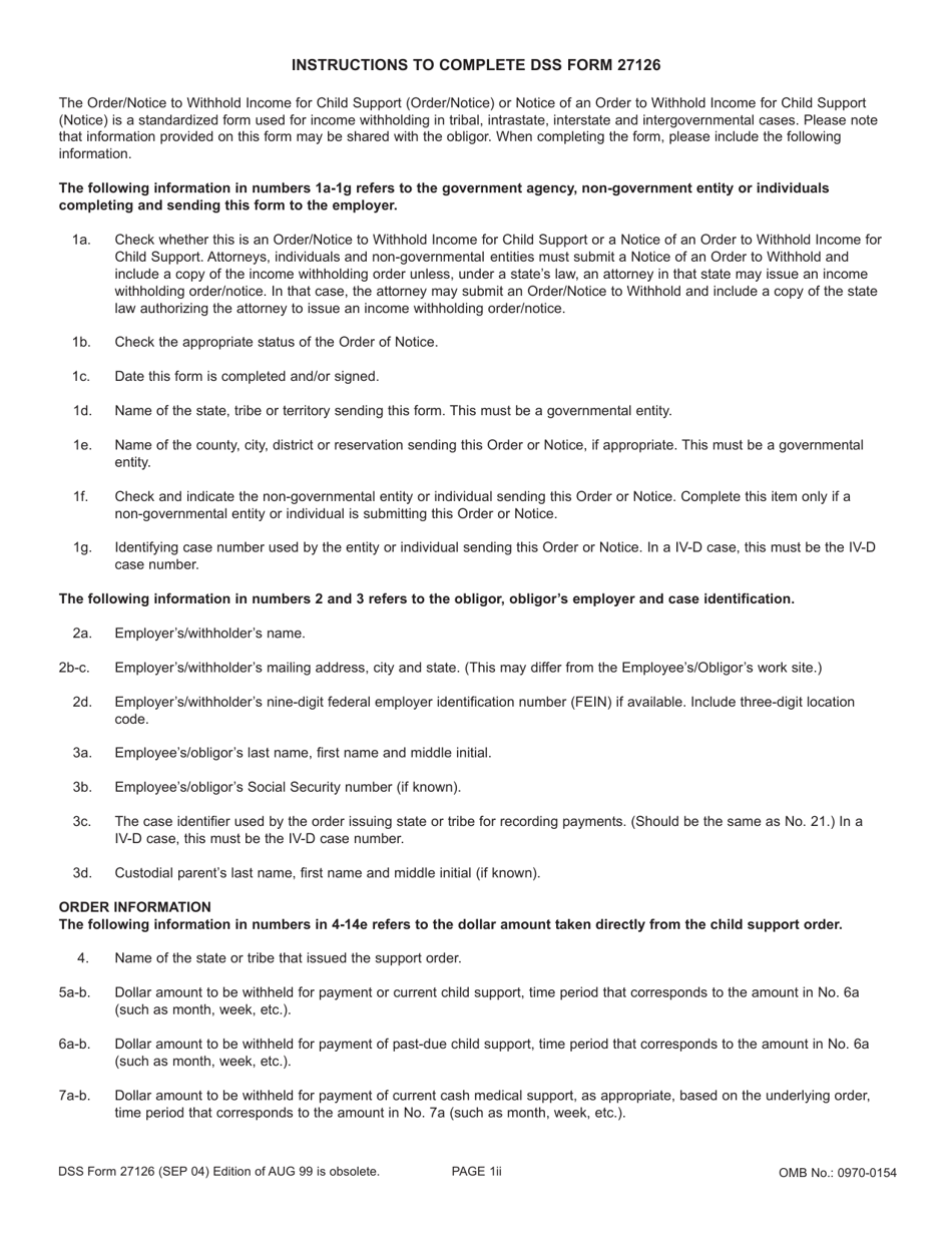
What Is DSS Form 27126?

This is a legal form that was released by the South Carolina Department of Social Services - a government authority operating within South Carolina. As of today, no separate filing guidelines for the form are provided by the issuing department.

FAQ

Q: What is DSS Form 27126?
A: DSS Form 27126 is the Order/Notice to Withhold Income for Child Support and Notice of an Order to Withhold Income for Child Support in South Carolina.

Q: What is the purpose of DSS Form 27126?
A: The purpose of DSS Form 27126 is to notify an employer to withhold income from an employee's wages for child support payments.

Q: Who uses DSS Form 27126?
A: DSS Form 27126 is used by the South Carolina Department of Social Services, employers, and employees.

Q: What does DSS stand for?
A: DSS stands for the South Carolina Department of Social Services.

Q: What is the significance of DSS Form 27126?
A: DSS Form 27126 ensures that child support payments are made regularly and on time by deducting the amount from the employee's income.

ADVERTISEMENT

Form Details:

  • Released on September 1, 2004;
  • The latest edition provided by the South Carolina Department of Social Services;
  • Easy to use and ready to print;
  • Quick to customize;
  • Compatible with most PDF-viewing applications;
  • Fill out the form in our online filing application.

Download a fillable version of DSS Form 27126 by clicking the link below or browse more documents and templates provided by the South Carolina Department of Social Services.

Download DSS Form 27126 Order / Notice to Withhold Income for Child Support and Notice of an Order to Withhold Income for Child Support - South Carolina

4.5 of 5 (71 votes)
  • DSS Form 27126 Order/Notice to Withhold Income for Child Support and Notice of an Order to Withhold Income for Child Support - South Carolina

    1

  • DSS Form 27126 Order/Notice to Withhold Income for Child Support and Notice of an Order to Withhold Income for Child Support - South Carolina, Page 2

    2

  • DSS Form 27126 Order/Notice to Withhold Income for Child Support and Notice of an Order to Withhold Income for Child Support - South Carolina, Page 3

    3

  • DSS Form 27126 Order/Notice to Withhold Income for Child Support and Notice of an Order to Withhold Income for Child Support - South Carolina, Page 4

    4

  • DSS Form 27126 Order/Notice to Withhold Income for Child Support and Notice of an Order to Withhold Income for Child Support - South Carolina, Page 5

    5

  • DSS Form 27126 Order/Notice to Withhold Income for Child Support and Notice of an Order to Withhold Income for Child Support - South Carolina, Page 6

    6

  • DSS Form 27126 Order/Notice to Withhold Income for Child Support and Notice of an Order to Withhold Income for Child Support - South Carolina, Page 7

    7

  • DSS Form 27126 Order/Notice to Withhold Income for Child Support and Notice of an Order to Withhold Income for Child Support - South Carolina, Page 8

    8

  • DSS Form 27126 Order/Notice to Withhold Income for Child Support and Notice of an Order to Withhold Income for Child Support - South Carolina, Page 9

    9

  • DSS Form 27126 Order/Notice to Withhold Income for Child Support and Notice of an Order to Withhold Income for Child Support - South Carolina, Page 10

    10

  • DSS Form 27126 Order / Notice to Withhold Income for Child Support and Notice of an Order to Withhold Income for Child Support - South Carolina, Page 1
  • DSS Form 27126 Order / Notice to Withhold Income for Child Support and Notice of an Order to Withhold Income for Child Support - South Carolina, Page 2
  • DSS Form 27126 Order / Notice to Withhold Income for Child Support and Notice of an Order to Withhold Income for Child Support - South Carolina, Page 3
  • DSS Form 27126 Order / Notice to Withhold Income for Child Support and Notice of an Order to Withhold Income for Child Support - South Carolina, Page 4
  • DSS Form 27126 Order / Notice to Withhold Income for Child Support and Notice of an Order to Withhold Income for Child Support - South Carolina, Page 5
  • DSS Form 27126 Order / Notice to Withhold Income for Child Support and Notice of an Order to Withhold Income for Child Support - South Carolina, Page 6
  • DSS Form 27126 Order / Notice to Withhold Income for Child Support and Notice of an Order to Withhold Income for Child Support - South Carolina, Page 7
  • DSS Form 27126 Order / Notice to Withhold Income for Child Support and Notice of an Order to Withhold Income for Child Support - South Carolina, Page 8
  • DSS Form 27126 Order / Notice to Withhold Income for Child Support and Notice of an Order to Withhold Income for Child Support - South Carolina, Page 9
  • DSS Form 27126 Order / Notice to Withhold Income for Child Support and Notice of an Order to Withhold Income for Child Support - South Carolina, Page 10
Prev 1 2 3 4 5 ... 10 Next
ADVERTISEMENT