DNR Form 542-0023 Air Quality Construction Permit for a Small Bulk Gasoline Plant - Iowa

Notification Icon This version of the form is not currently in use and is provided for reference only. Download this version of DNR Form 542-0023 for the current year.

DNR Form 542-0023 Air Quality Construction Permit for a Small Bulk Gasoline Plant - Iowa

What Is DNR Form 542-0023?

This is a legal form that was released by the Iowa Department of Natural Resources - a government authority operating within Iowa. As of today, no separate filing guidelines for the form are provided by the issuing department.

FAQ

Q: What is DNR Form 542-0023?
A: DNR Form 542-0023 is an Air QualityConstruction Permit for a Small Bulk Gasoline Plant in Iowa.

Q: What is the purpose of DNR Form 542-0023?
A: The purpose of DNR Form 542-0023 is to obtain a permit for construction activities related to a small bulk gasoline plant in Iowa.

Q: Who needs to fill out DNR Form 542-0023?
A: Anyone planning to construct a small bulk gasoline plant in Iowa needs to fill out DNR Form 542-0023.

Q: What is the deadline for submitting DNR Form 542-0023?
A: The deadline for submitting DNR Form 542-0023 may vary. It is recommended to check with the Iowa Department of Natural Resources (DNR) for the specific deadline.

Q: What information is required on DNR Form 542-0023?
A: DNR Form 542-0023 requires information such as project details, emissions data, mitigation measures, and compliance with air quality regulations.

Q: Is DNR Form 542-0023 specific to Iowa?
A: Yes, DNR Form 542-0023 is specific to Iowa and is used for obtaining an Air Quality Construction Permit for a Small Bulk Gasoline Plant in the state.

Q: Can I start construction without obtaining DNR Form 542-0023?
A: No, it is illegal to start construction of a small bulk gasoline plant in Iowa without obtaining the required DNR Form 542-0023 permit.

Q: What is the purpose of an Air Quality Construction Permit?
A: An Air Quality Construction Permit ensures that construction activities comply with air quality regulations and minimize potential environmental impacts.

ADVERTISEMENT

Form Details:

  • Released on November 1, 2019;
  • The latest edition provided by the Iowa Department of Natural Resources;
  • Easy to use and ready to print;
  • Quick to customize;
  • Compatible with most PDF-viewing applications;
  • Fill out the form in our online filing application.

Download a fillable version of DNR Form 542-0023 by clicking the link below or browse more documents and templates provided by the Iowa Department of Natural Resources.

Download DNR Form 542-0023 Air Quality Construction Permit for a Small Bulk Gasoline Plant - Iowa

4.8 of 5 (20 votes)
  • DNR Form 542-0023 Air Quality Construction Permit for a Small Bulk Gasoline Plant - Iowa

    1

  • DNR Form 542-0023 Air Quality Construction Permit for a Small Bulk Gasoline Plant - Iowa, Page 2

    2

  • DNR Form 542-0023 Air Quality Construction Permit for a Small Bulk Gasoline Plant - Iowa, Page 3

    3

  • DNR Form 542-0023 Air Quality Construction Permit for a Small Bulk Gasoline Plant - Iowa, Page 4

    4

  • DNR Form 542-0023 Air Quality Construction Permit for a Small Bulk Gasoline Plant - Iowa, Page 5

    5

  • DNR Form 542-0023 Air Quality Construction Permit for a Small Bulk Gasoline Plant - Iowa, Page 6

    6

  • DNR Form 542-0023 Air Quality Construction Permit for a Small Bulk Gasoline Plant - Iowa, Page 7

    7

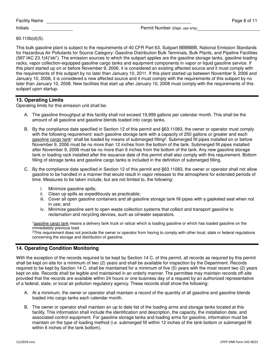
  • DNR Form 542-0023 Air Quality Construction Permit for a Small Bulk Gasoline Plant - Iowa, Page 8

    8

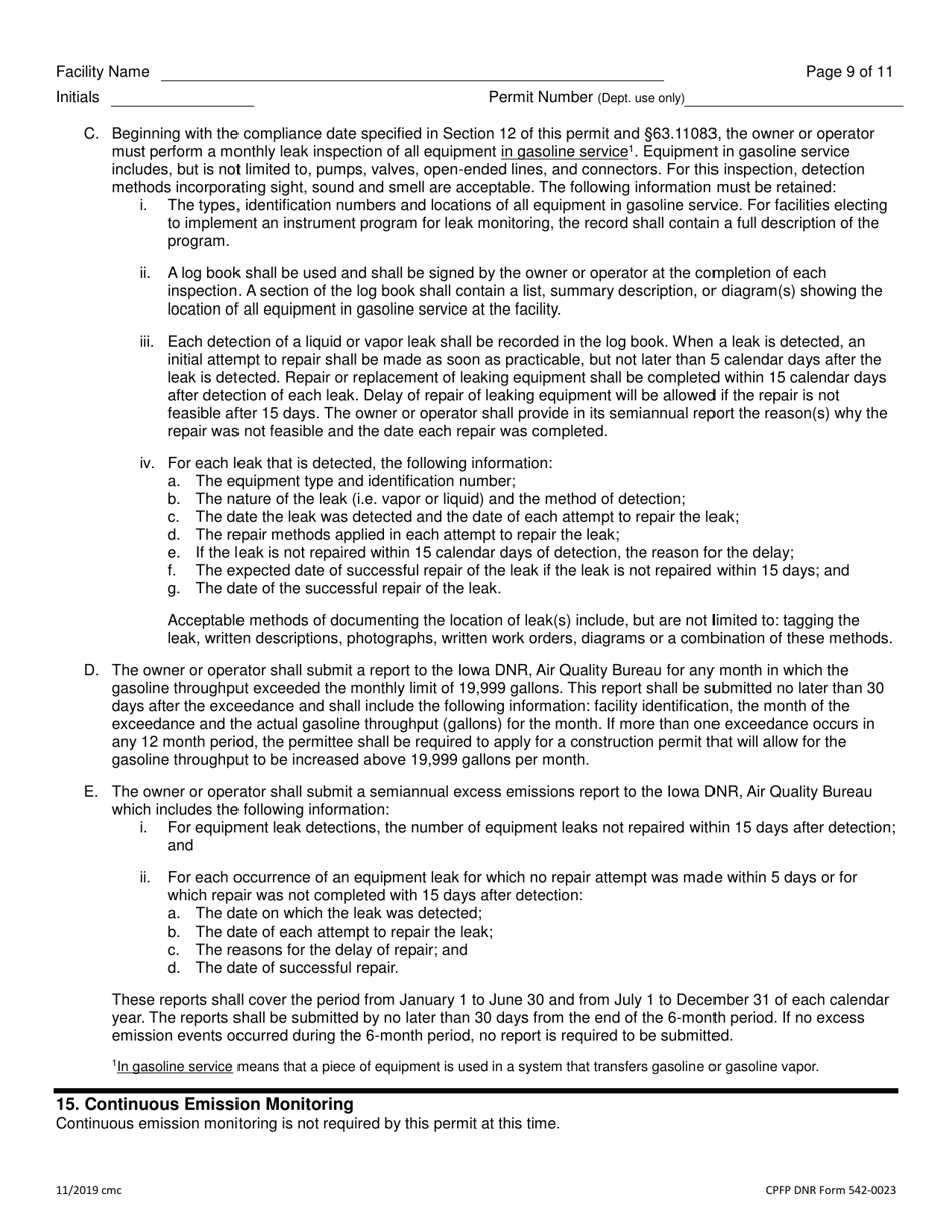
  • DNR Form 542-0023 Air Quality Construction Permit for a Small Bulk Gasoline Plant - Iowa, Page 9

    9

  • DNR Form 542-0023 Air Quality Construction Permit for a Small Bulk Gasoline Plant - Iowa, Page 10

    10

  • DNR Form 542-0023 Air Quality Construction Permit for a Small Bulk Gasoline Plant - Iowa, Page 11

    11

  • DNR Form 542-0023 Air Quality Construction Permit for a Small Bulk Gasoline Plant - Iowa, Page 1
  • DNR Form 542-0023 Air Quality Construction Permit for a Small Bulk Gasoline Plant - Iowa, Page 2
  • DNR Form 542-0023 Air Quality Construction Permit for a Small Bulk Gasoline Plant - Iowa, Page 3
  • DNR Form 542-0023 Air Quality Construction Permit for a Small Bulk Gasoline Plant - Iowa, Page 4
  • DNR Form 542-0023 Air Quality Construction Permit for a Small Bulk Gasoline Plant - Iowa, Page 5
  • DNR Form 542-0023 Air Quality Construction Permit for a Small Bulk Gasoline Plant - Iowa, Page 6
  • DNR Form 542-0023 Air Quality Construction Permit for a Small Bulk Gasoline Plant - Iowa, Page 7
  • DNR Form 542-0023 Air Quality Construction Permit for a Small Bulk Gasoline Plant - Iowa, Page 8
  • DNR Form 542-0023 Air Quality Construction Permit for a Small Bulk Gasoline Plant - Iowa, Page 9
  • DNR Form 542-0023 Air Quality Construction Permit for a Small Bulk Gasoline Plant - Iowa, Page 10
  • DNR Form 542-0023 Air Quality Construction Permit for a Small Bulk Gasoline Plant - Iowa, Page 11
Prev 1 2 3 4 5 ... 11 Next
ADVERTISEMENT