DNR Form 542-8115 Notice of Discontinuation of a Storm Water Discharge Covered Under Iowa Npdes General Permit Numbers 1, 2, or 3 - Iowa

Notification Icon This version of the form is not currently in use and is provided for reference only. Download this version of DNR Form 542-8115 for the current year.

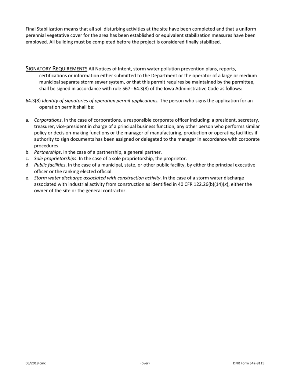
DNR Form 542-8115 Notice of Discontinuation of a Storm Water Discharge Covered Under Iowa Npdes General Permit Numbers 1, 2, or 3 - Iowa

What Is DNR Form 542-8115?

This is a legal form that was released by the Iowa Department of Natural Resources - a government authority operating within Iowa. As of today, no separate filing guidelines for the form are provided by the issuing department.

FAQ

Q: What is DNR Form 542-8115?
A: DNR Form 542-8115 is the Notice of Discontinuation of a Storm Water Discharge covered under Iowa NPDES General Permit Numbers 1, 2, or 3.

Q: What does NPDES stand for?
A: NPDES stands for National Pollutant Discharge Elimination System.

Q: What is Iowa NPDES General Permit?
A: Iowa NPDES General Permit is a permit issued by the Iowa Department of Natural Resources (DNR) that regulates storm water discharges.

Q: When is DNR Form 542-8115 used?
A: DNR Form 542-8115 is used when notifying the DNR about the discontinuation of a storm water discharge.

Q: What are the permit numbers covered by DNR Form 542-8115?
A: DNR Form 542-8115 covers storm water discharges under Iowa NPDES General Permit Numbers 1, 2, or 3.

Q: Who is responsible for submitting DNR Form 542-8115?
A: The party responsible for the storm water discharge is responsible for submitting DNR Form 542-8115 to the Iowa DNR.

ADVERTISEMENT

Form Details:

  • Released on June 1, 2019;
  • The latest edition provided by the Iowa Department of Natural Resources;
  • Easy to use and ready to print;
  • Quick to customize;
  • Compatible with most PDF-viewing applications;
  • Fill out the form in our online filing application.

Download a fillable version of DNR Form 542-8115 by clicking the link below or browse more documents and templates provided by the Iowa Department of Natural Resources.

Download DNR Form 542-8115 Notice of Discontinuation of a Storm Water Discharge Covered Under Iowa Npdes General Permit Numbers 1, 2, or 3 - Iowa

4.7 of 5 (16 votes)
  • DNR Form 542-8115 Notice of Discontinuation of a Storm Water Discharge Covered Under Iowa Npdes General Permit Numbers 1, 2, or 3 - Iowa

    1

  • DNR Form 542-8115 Notice of Discontinuation of a Storm Water Discharge Covered Under Iowa Npdes General Permit Numbers 1, 2, or 3 - Iowa, Page 2

    2

  • DNR Form 542-8115 Notice of Discontinuation of a Storm Water Discharge Covered Under Iowa Npdes General Permit Numbers 1, 2, or 3 - Iowa, Page 1
  • DNR Form 542-8115 Notice of Discontinuation of a Storm Water Discharge Covered Under Iowa Npdes General Permit Numbers 1, 2, or 3 - Iowa, Page 2
Prev 1 2 Next
ADVERTISEMENT

Related Documents