Form DBPR VM6 Application to Reinstate Null and Void License - Florida

Notification Icon This version of the form is not currently in use and is provided for reference only. Download this version of Form DBPR VM6 for the current year.

Form DBPR VM6 Application to Reinstate Null and Void License - Florida

What Is Form DBPR VM6?

This is a legal form that was released by the Florida Department of Business & Professional Regulation - a government authority operating within Florida. As of today, no separate filing guidelines for the form are provided by the issuing department.

FAQ

Q: What is a DBPR VM6 Application?
A: The DBPR VM6 Application is a form used to reinstate a null and void license in Florida.

Q: What does it mean for a license to be null and void?
A: A null and void license means that the license has expired and is no longer active.

Q: How do I reinstate a null and void license in Florida?
A: You can reinstate a null and void license by completing and submitting the DBPR VM6 Application.

Q: What information do I need to provide on the DBPR VM6 Application?
A: You will need to provide your personal information, license information, and payment for the reinstatement fee.

Q: Is there a fee to reinstate a null and void license?
A: Yes, there is a reinstatement fee that must be paid when submitting the DBPR VM6 Application.

ADVERTISEMENT

Form Details:

  • Released on July 1, 2020;
  • The latest edition provided by the Florida Department of Business & Professional Regulation;
  • Easy to use and ready to print;
  • Quick to customize;
  • Compatible with most PDF-viewing applications;
  • Fill out the form in our online filing application.

Download a printable version of Form DBPR VM6 by clicking the link below or browse more documents and templates provided by the Florida Department of Business & Professional Regulation.

Download Form DBPR VM6 Application to Reinstate Null and Void License - Florida

4.3 of 5 (22 votes)
  • Form DBPR VM6 Application to Reinstate Null and Void License - Florida

    1

  • Form DBPR VM6 Application to Reinstate Null and Void License - Florida, Page 2

    2

  • Form DBPR VM6 Application to Reinstate Null and Void License - Florida, Page 3

    3

  • Form DBPR VM6 Application to Reinstate Null and Void License - Florida, Page 4

    4

  • Form DBPR VM6 Application to Reinstate Null and Void License - Florida, Page 5

    5

  • Form DBPR VM6 Application to Reinstate Null and Void License - Florida, Page 6

    6

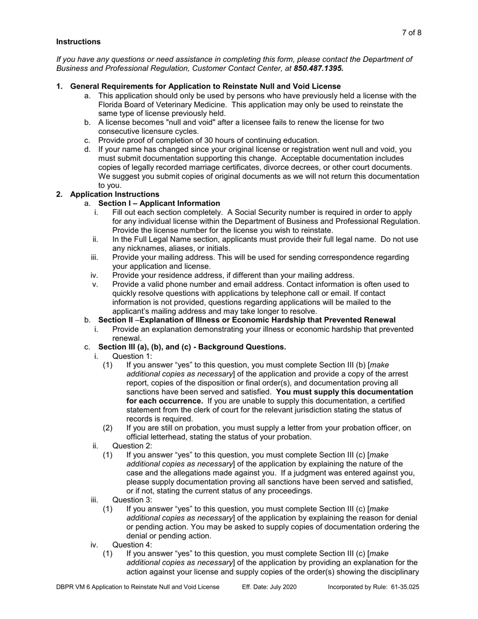
  • Form DBPR VM6 Application to Reinstate Null and Void License - Florida, Page 7

    7

  • Form DBPR VM6 Application to Reinstate Null and Void License - Florida, Page 8

    8

  • Form DBPR VM6 Application to Reinstate Null and Void License - Florida, Page 1
  • Form DBPR VM6 Application to Reinstate Null and Void License - Florida, Page 2
  • Form DBPR VM6 Application to Reinstate Null and Void License - Florida, Page 3
  • Form DBPR VM6 Application to Reinstate Null and Void License - Florida, Page 4
  • Form DBPR VM6 Application to Reinstate Null and Void License - Florida, Page 5
  • Form DBPR VM6 Application to Reinstate Null and Void License - Florida, Page 6
  • Form DBPR VM6 Application to Reinstate Null and Void License - Florida, Page 7
  • Form DBPR VM6 Application to Reinstate Null and Void License - Florida, Page 8
Prev 1 2 3 4 5 ... 8 Next
ADVERTISEMENT

Related Documents