Permit by Rule Permanent Household Hazardous Waste Collection Facility Inspection Checklist - California

Permit by Rule Permanent Household Hazardous Waste Collection Facility Inspection Checklist - California

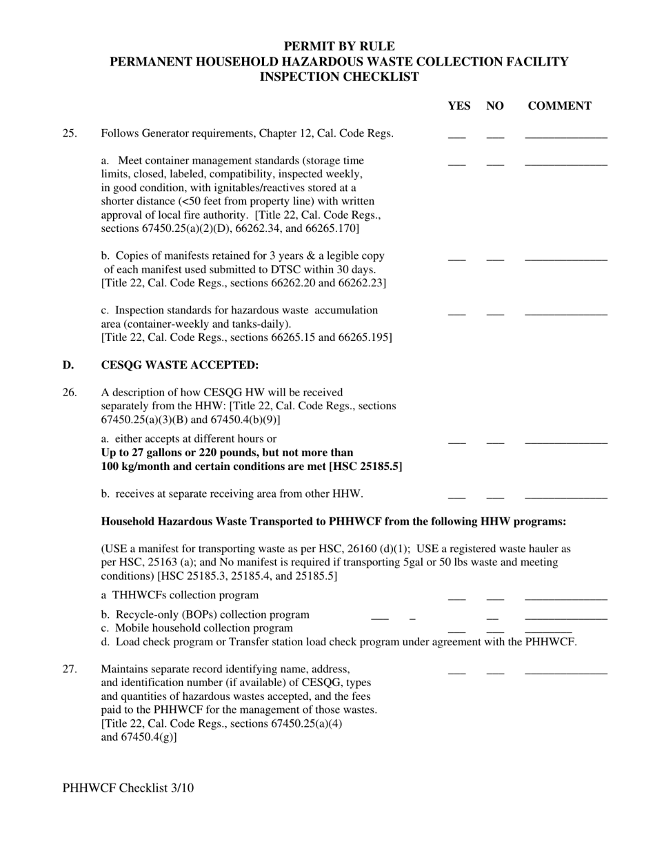
Permit by Rule Permanent Household Hazardous Facility Inspection Checklist is a legal document that was released by the California Department of Toxic Substances Control - a government authority operating within California.

FAQ

Q: What is the Permit by Rule for Permanent Household Hazardous Waste Collection Facility?
A: The Permit by Rule is a regulatory framework in California for the operation of permanent household hazardous waste collection facilities.

Q: What is a Household Hazardous Waste Collection Facility?
A: A household hazardous waste collection facility is a facility where residents can safely dispose of household hazardous waste such as paint, pesticides, and batteries.

Q: What is the purpose of the inspection checklist?
A: The inspection checklist is used to ensure that permanent household hazardous waste collection facilities are in compliance with regulatory requirements.

Q: What does the inspection checklist cover?
A: The inspection checklist covers various aspects of facility operations including waste handling, storage, signage, and employee training.

Q: Who conducts the inspections?
A: Inspections of permanent household hazardous waste collection facilities are conducted by regulatory authorities in California, such as the Department of Toxic Substances Control.

Q: Why are inspections important?
A: Inspections are important to ensure that facilities are operating safely and in compliance with regulations, protecting both public health and the environment.

Q: What happens if a facility fails the inspection?
A: If a facility fails the inspection, it may be required to take corrective actions and address any deficiencies identified before it can continue operating.

Q: Can residents drop off hazardous waste at any time?
A: Residents can typically drop off hazardous waste at permanent collection facilities during specified operating hours.

Q: Is there a fee for dropping off household hazardous waste?
A: In some cases, there may be a fee associated with dropping off household hazardous waste at permanent collection facilities. The fee helps cover the costs of proper disposal and recycling.

Q: Can businesses drop off hazardous waste at household collection facilities?
A: Generally, household hazardous waste collection facilities are intended for residential use only. Businesses may have separate requirements for disposing of their hazardous waste.

ADVERTISEMENT

Form Details:

  • Released on March 1, 2010;
  • The latest edition currently provided by the California Department of Toxic Substances Control;
  • Ready to use and print;
  • Easy to customize;
  • Compatible with most PDF-viewing applications;
  • Fill out the form in our online filing application.

Download a printable version of the form by clicking the link below or browse more documents and templates provided by the California Department of Toxic Substances Control.

Download Permit by Rule Permanent Household Hazardous Waste Collection Facility Inspection Checklist - California

4.6 of 5 (10 votes)
  • Permit by Rule Permanent Household Hazardous Waste Collection Facility Inspection Checklist - California

    1

  • Permit by Rule Permanent Household Hazardous Waste Collection Facility Inspection Checklist - California, Page 2

    2

  • Permit by Rule Permanent Household Hazardous Waste Collection Facility Inspection Checklist - California, Page 3

    3

  • Permit by Rule Permanent Household Hazardous Waste Collection Facility Inspection Checklist - California, Page 4

    4

  • Permit by Rule Permanent Household Hazardous Waste Collection Facility Inspection Checklist - California, Page 5

    5

  • Permit by Rule Permanent Household Hazardous Waste Collection Facility Inspection Checklist - California, Page 6

    6

  • Permit by Rule Permanent Household Hazardous Waste Collection Facility Inspection Checklist - California, Page 7

    7

  • Permit by Rule Permanent Household Hazardous Waste Collection Facility Inspection Checklist - California, Page 8

    8

  • Permit by Rule Permanent Household Hazardous Waste Collection Facility Inspection Checklist - California, Page 9

    9

  • Permit by Rule Permanent Household Hazardous Waste Collection Facility Inspection Checklist - California, Page 10

    10

  • Permit by Rule Permanent Household Hazardous Waste Collection Facility Inspection Checklist - California, Page 11

    11

  • Permit by Rule Permanent Household Hazardous Waste Collection Facility Inspection Checklist - California, Page 12

    12

  • Permit by Rule Permanent Household Hazardous Waste Collection Facility Inspection Checklist - California, Page 1
  • Permit by Rule Permanent Household Hazardous Waste Collection Facility Inspection Checklist - California, Page 2
  • Permit by Rule Permanent Household Hazardous Waste Collection Facility Inspection Checklist - California, Page 3
  • Permit by Rule Permanent Household Hazardous Waste Collection Facility Inspection Checklist - California, Page 4
  • Permit by Rule Permanent Household Hazardous Waste Collection Facility Inspection Checklist - California, Page 5
  • Permit by Rule Permanent Household Hazardous Waste Collection Facility Inspection Checklist - California, Page 6
  • Permit by Rule Permanent Household Hazardous Waste Collection Facility Inspection Checklist - California, Page 7
  • Permit by Rule Permanent Household Hazardous Waste Collection Facility Inspection Checklist - California, Page 8
  • Permit by Rule Permanent Household Hazardous Waste Collection Facility Inspection Checklist - California, Page 9
  • Permit by Rule Permanent Household Hazardous Waste Collection Facility Inspection Checklist - California, Page 10
  • Permit by Rule Permanent Household Hazardous Waste Collection Facility Inspection Checklist - California, Page 11
  • Permit by Rule Permanent Household Hazardous Waste Collection Facility Inspection Checklist - California, Page 12
Prev 1 2 3 4 5 ... 12 Next
ADVERTISEMENT