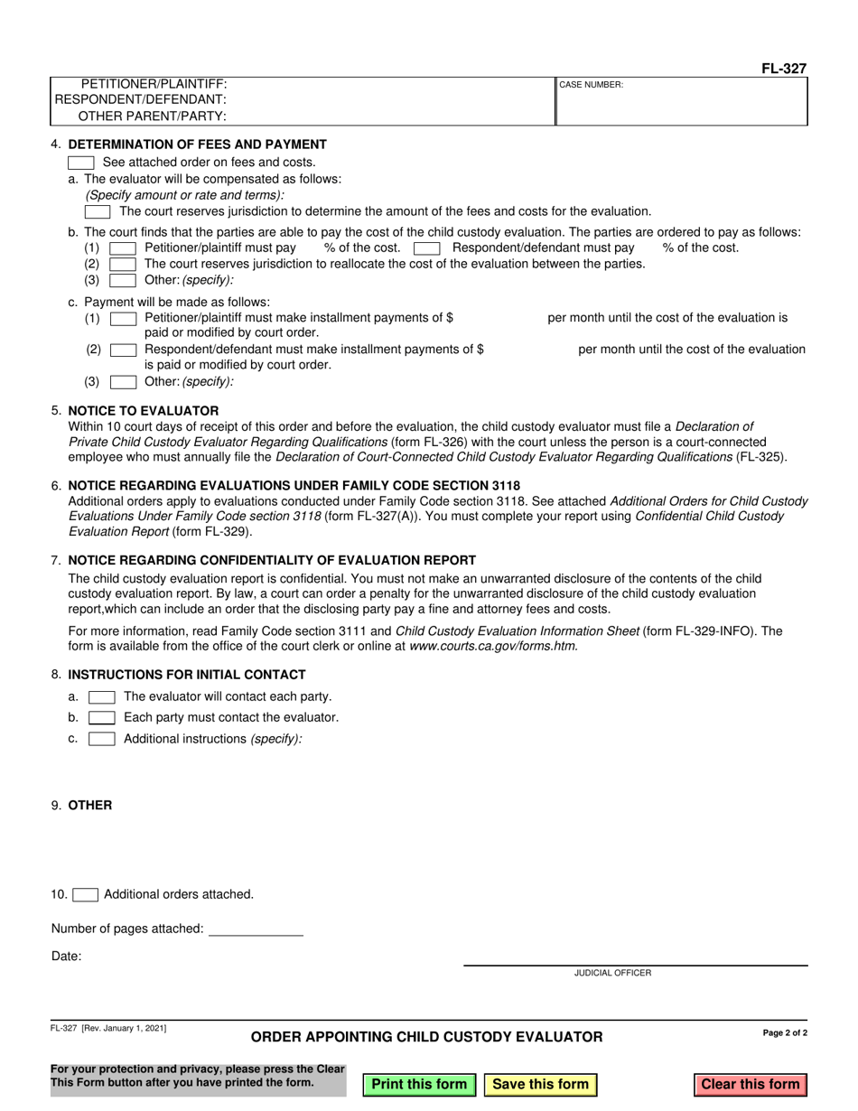
Form FL-327 Order Appointing Child Custody Evaluator - California

Notification Icon This version of the form is not currently in use and is provided for reference only. Download this version of Form FL-327 for the current year.

Form FL-327 Order Appointing Child Custody Evaluator - California

What Is Form FL-327?

This is a legal form that was released by the California Superior Court - a government authority operating within California. As of today, no separate filing guidelines for the form are provided by the issuing department.

FAQ

Q: What is Form FL-327?
A: Form FL-327 is the Order AppointingChild Custody Evaluator in California.

Q: What is the purpose of Form FL-327?
A: The purpose of Form FL-327 is to appoint a child custody evaluator in a family law case in California.

Q: Who uses Form FL-327?
A: Form FL-327 is used by judges in California family law cases to appoint a child custody evaluator.

Q: What is a child custody evaluator?
A: A child custody evaluator is a neutral professional who assesses the best interests of the child in a custody case.

Q: Why is a child custody evaluator appointed?
A: A child custody evaluator is appointed to gather information about the child's living situation and make recommendations to the court regarding custody and visitation arrangements.

Q: Are there any fees for appointing a child custody evaluator?
A: Yes, there may be fees associated with appointing a child custody evaluator. The specific fees and payment arrangements will vary depending on the case and the evaluator.

Q: What should I do after Form FL-327 is filled out?
A: After Form FL-327 is filled out, it should be filed with the court clerk's office and served on the parties involved in the case.

Q: Can I modify or cancel the appointment of a child custody evaluator?
A: Modification or cancellation of a child custody evaluator appointment may be possible, but it generally requires a court order and a showing of good cause.

Q: Can I choose my own child custody evaluator?
A: In some cases, parties may be allowed to choose their own child custody evaluator, but it ultimately depends on the rules and policies of the specific court handling the case.

ADVERTISEMENT

Form Details:

  • Released on January 1, 2021;
  • The latest edition provided by the California Superior Court;
  • Easy to use and ready to print;
  • Available in Spanish;
  • Quick to customize;
  • Compatible with most PDF-viewing applications;
  • Fill out the form in our online filing application.

Download a fillable version of Form FL-327 by clicking the link below or browse more documents and templates provided by the California Superior Court.

Download Form FL-327 Order Appointing Child Custody Evaluator - California

4.8 of 5 (17 votes)
  • Form FL-327 Order Appointing Child Custody Evaluator - California

    1

  • Form FL-327 Order Appointing Child Custody Evaluator - California, Page 2

    2

  • Form FL-327 Order Appointing Child Custody Evaluator - California, Page 1
  • Form FL-327 Order Appointing Child Custody Evaluator - California, Page 2
Prev 1 2 Next
ADVERTISEMENT

Related Documents