Cannabis Craft Grower Application and Exhibits - Illinois

Cannabis Craft Grower Application and Exhibits - Illinois

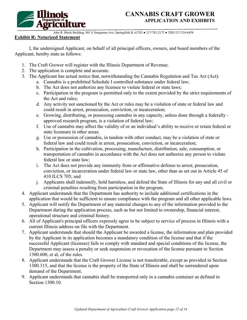
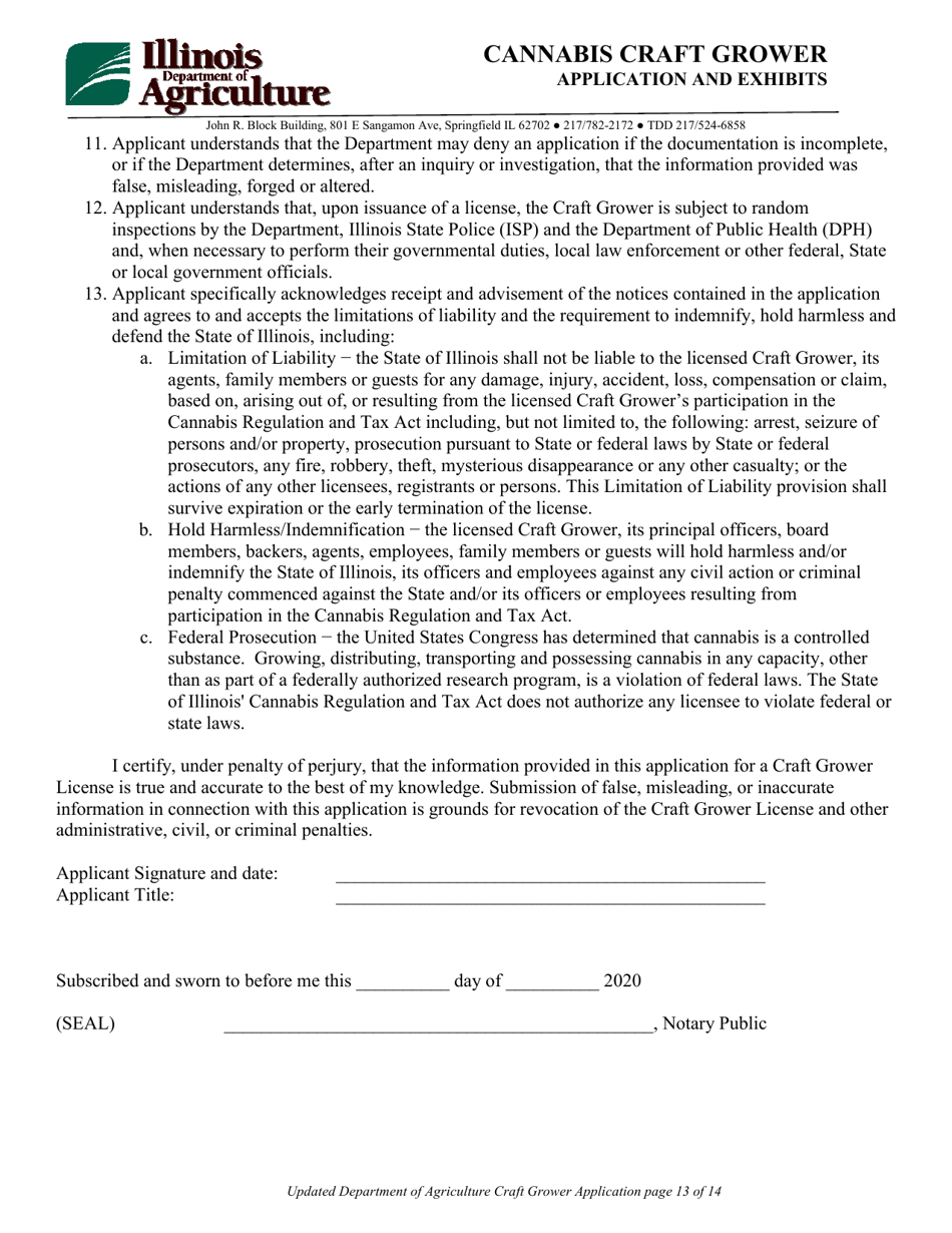
Cannabis Craft Grower Application and Exhibits is a legal document that was released by the Illinois Department of Agriculture - a government authority operating within Illinois.

FAQ

Q: What is a Cannabis Craft Grower Application?
A: A Cannabis Craft Grower Application is a formal request to the state of Illinois to be licensed as a craft cannabis grower.

Q: What is a craft cannabis grower?
A: A craft cannabis grower is a small-scale marijuana cultivator who produces cannabis for adult-use or medical purposes.

Q: Who can apply to be a cannabis craft grower in Illinois?
A: Any individual or entity that meets the eligibility criteria defined by the state of Illinois can apply to be a cannabis craft grower.

Q: What are the requirements to apply as a cannabis craft grower in Illinois?
A: The requirements include being at least 21 years old, having a clean criminal record, and meeting the financial and operational requirements set by the state.

Q: What is included in the Cannabis Craft Grower Application?
A: The application includes information about the applicant, detailed plans for cultivation operations, security measures, environmental impact, and compliance with local regulations.

Q: How long does it take to process a Cannabis Craft Grower Application in Illinois?
A: The processing time for a Cannabis Craft Grower Application can vary, but it typically takes several months for the state to review and approve or deny the application.

Q: What happens after a Cannabis Craft Grower Application is approved?
A: If the application is approved, the applicant can proceed with setting up their craft cannabis cultivation facility and obtaining the necessary licenses and permits.

Q: What happens if a Cannabis Craft Grower Application is denied?
A: If the application is denied, the applicant can reapply in the future or seek clarification on the reasons for the denial to address any deficiencies in the application.

ADVERTISEMENT

Form Details:

  • The latest edition currently provided by the Illinois Department of Agriculture;
  • Ready to use and print;
  • Easy to customize;
  • Compatible with most PDF-viewing applications;
  • Fill out the form in our online filing application.

Download a fillable version of the form by clicking the link below or browse more documents and templates provided by the Illinois Department of Agriculture.

Download Cannabis Craft Grower Application and Exhibits - Illinois

4.7 of 5 (26 votes)
  • Cannabis Craft Grower Application and Exhibits - Illinois

    1

  • Cannabis Craft Grower Application and Exhibits - Illinois, Page 2

    2

  • Cannabis Craft Grower Application and Exhibits - Illinois, Page 3

    3

  • Cannabis Craft Grower Application and Exhibits - Illinois, Page 4

    4

  • Cannabis Craft Grower Application and Exhibits - Illinois, Page 5

    5

  • Cannabis Craft Grower Application and Exhibits - Illinois, Page 6

    6

  • Cannabis Craft Grower Application and Exhibits - Illinois, Page 7

    7

  • Cannabis Craft Grower Application and Exhibits - Illinois, Page 8

    8

  • Cannabis Craft Grower Application and Exhibits - Illinois, Page 9

    9

  • Cannabis Craft Grower Application and Exhibits - Illinois, Page 10

    10

  • Cannabis Craft Grower Application and Exhibits - Illinois, Page 11

    11

  • Cannabis Craft Grower Application and Exhibits - Illinois, Page 12

    12

  • Cannabis Craft Grower Application and Exhibits - Illinois, Page 13

    13

  • Cannabis Craft Grower Application and Exhibits - Illinois, Page 14

    14

  • Cannabis Craft Grower Application and Exhibits - Illinois, Page 15

    15

  • Cannabis Craft Grower Application and Exhibits - Illinois, Page 16

    16

  • Cannabis Craft Grower Application and Exhibits - Illinois, Page 1
  • Cannabis Craft Grower Application and Exhibits - Illinois, Page 2
  • Cannabis Craft Grower Application and Exhibits - Illinois, Page 3
  • Cannabis Craft Grower Application and Exhibits - Illinois, Page 4
  • Cannabis Craft Grower Application and Exhibits - Illinois, Page 5
  • Cannabis Craft Grower Application and Exhibits - Illinois, Page 6
  • Cannabis Craft Grower Application and Exhibits - Illinois, Page 7
  • Cannabis Craft Grower Application and Exhibits - Illinois, Page 8
  • Cannabis Craft Grower Application and Exhibits - Illinois, Page 9
  • Cannabis Craft Grower Application and Exhibits - Illinois, Page 10
  • Cannabis Craft Grower Application and Exhibits - Illinois, Page 11
  • Cannabis Craft Grower Application and Exhibits - Illinois, Page 12
  • Cannabis Craft Grower Application and Exhibits - Illinois, Page 13
  • Cannabis Craft Grower Application and Exhibits - Illinois, Page 14
  • Cannabis Craft Grower Application and Exhibits - Illinois, Page 15
  • Cannabis Craft Grower Application and Exhibits - Illinois, Page 16
Prev 1 2 3 4 5 ... 16 Next
ADVERTISEMENT